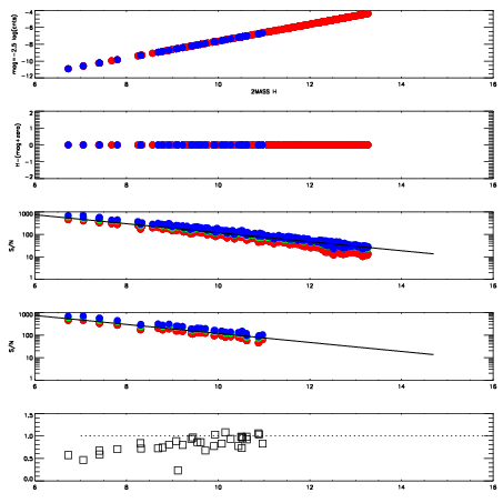
Left plots: red are targets, blue are telluric. Observed mags are calculated from median value of green chip. Zeropoint gives overall throughput: bigger number is more throughput.
First spatial plots: circles are objects, squares are tellurics, crosses are sky fibers. Colors give deviation of observed mag from expected 2MASS mag using the median zeropoint; red is brighter
Second spatial plots: circles are sky fibers. Colors give sky line brightness relative to plate median sky line brightness
FrameNreadsZeropointsMag plots Spatial mag deviation Spatial sky 16325A emission deviations (filled: sky, open: star) Spatial sky continuum emission Spatial sky telluric CO2 absorption deviations (filled: H < 10)
0 0
RedGreenBlue
z17.64
znorm Inf
sky -Inf -NaN -Inf
S/N 27.6 46.8 49.1
S/N(c) 0.0 0.0 0.0
SN(E/C) 0.83

IPAIRNAMESHIFTNEWSHIFTS/N NAMESHIFTNEWSHIFTS/N
0 12370016 0.494913 0.00000 19.1257 12370018 0.00388395 0.491029 19.1676
1 12370017 0.494857 5.59986e-05 19.0978 12370015 0.00509277 0.489820 19.1184
2 12370012 0.493047 0.00186601 19.0907 12370011 0.00000 0.494913 19.0807
3 12370013 0.493766 0.00114700 19.0903 12370014 0.00521940 0.489694 19.0616