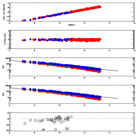
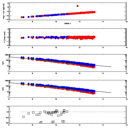
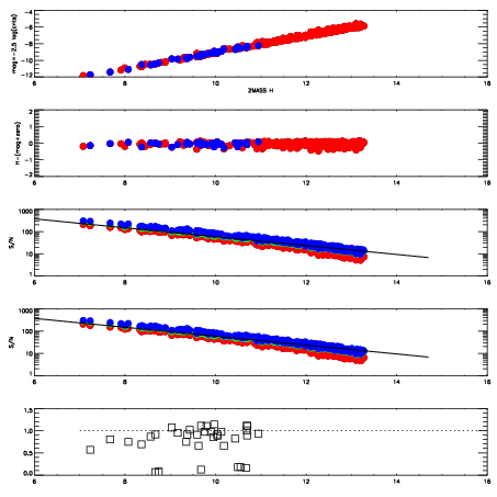
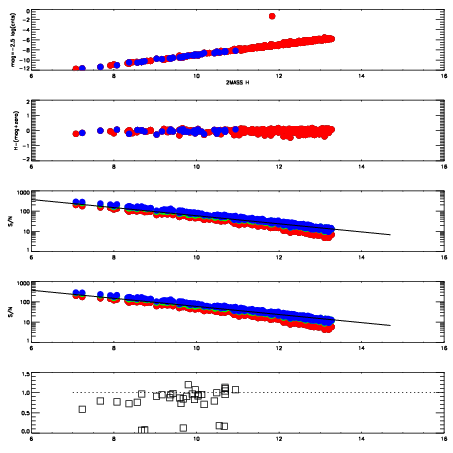
Frame | Nreads | Zeropoints | Mag plots
| Spatial mag deviation
| Spatial sky 16325A emission deviations (filled: sky, open: star)
| Spatial sky continuum emission
| Spatial sky telluric CO2 absorption deviations (filled: H < 10)
|
12680070
| 47
| | Red | Green | Blue
| z | | 19.00
| znorm | | 14.82
| sky | 14.6 | 14.4 | 14.4
| S/N | 15.6 | 25.5 | 26.8
| S/N(c) | 9.9 | 12.2 | 15.7
| SN(E/C) | 0.89
|
|
|
|
|
|
|
12680071
| 47
| | Red | Green | Blue
| z | | 19.12
| znorm | | 14.94
| sky | 14.6 | 14.6 | 14.6
| S/N | 17.3 | 27.7 | 29.8
| S/N(c) | 10.6 | 12.9 | 16.9
| SN(E/C) | 0.91
|
|
|
|
|
|
|
12680072
| 47
| | Red | Green | Blue
| z | | 19.09
| znorm | | 14.91
| sky | 14.8 | 14.6 | 14.6
| S/N | 16.9 | 27.3 | 28.7
| S/N(c) | 10.3 | 12.7 | 16.7
| SN(E/C) | 0.89
|
|
|
|
|
|
|
12680073
| 47
| | Red | Green | Blue
| z | | 19.10
| znorm | | 14.92
| sky | 14.6 | 14.5 | 14.5
| S/N | 16.7 | 27.4 | 28.7
| S/N(c) | 10.3 | 12.7 | 16.8
| SN(E/C) | 0.89
|
|
|
|
|
|
|
12680074
| 47
| | Red | Green | Blue
| z | | 19.10
| znorm | | 14.92
| sky | 14.8 | 14.5 | 14.5
| S/N | 16.7 | 27.4 | 29.0
| S/N(c) | 10.4 | 12.6 | 17.2
| SN(E/C) | 0.89
|
|
|
|
|
|
|
12680075
| 47
| | Red | Green | Blue
| z | | 19.05
| znorm | | 14.87
| sky | 14.6 | 14.5 | 14.6
| S/N | 16.1 | 26.4 | 28.1
| S/N(c) | 10.1 | 12.4 | 16.5
| SN(E/C) | 0.93
|
|
|
|
|
|
|
12680076
| 47
| | Red | Green | Blue
| z | | 19.03
| znorm | | 14.85
| sky | 14.5 | 14.4 | 14.6
| S/N | 16.1 | 26.3 | 27.7
| S/N(c) | 9.9 | 12.3 | 16.4
| SN(E/C) | 0.91
|
|
|
|
|
|
|
12680077
| 47
| | Red | Green | Blue
| z | | 18.97
| znorm | | 14.79
| sky | 14.4 | 14.6 | 14.6
| S/N | 15.2 | 25.7 | 26.8
| S/N(c) | 9.6 | 12.0 | 16.0
| SN(E/C) | 0.92
|
|
|
|
|
|
|