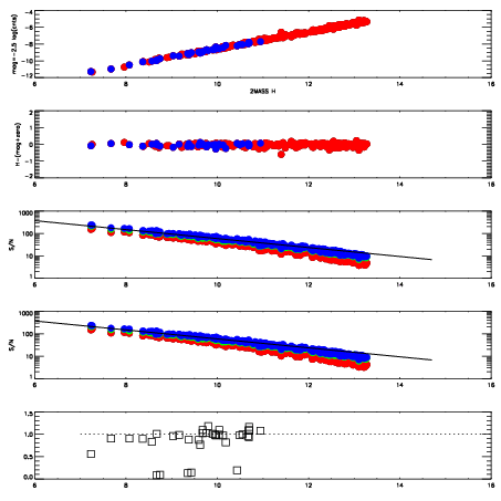
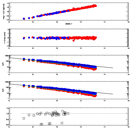
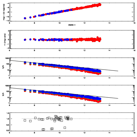
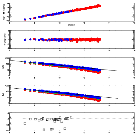
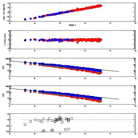
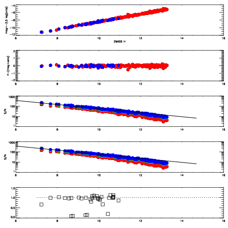
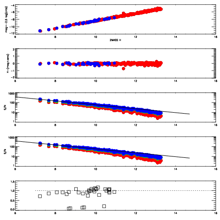
Frame | Nreads | Zeropoints | Mag plots
| Spatial mag deviation
| Spatial sky 16325A emission deviations (filled: sky, open: star)
| Spatial sky continuum emission
| Spatial sky telluric CO2 absorption deviations (filled: H < 10)
|
12660070
| 47
| | Red | Green | Blue
| z | | 18.00
| znorm | | 13.82
| sky | 14.7 | 14.4 | 14.6
| S/N | 7.6 | 13.2 | 13.5
| S/N(c) | 16.1 | 7.0 | 14.0
| SN(E/C) | 0.98
|
|
|
|
|
|
|
12660071
| 47
| | Red | Green | Blue
| z | | 18.48
| znorm | | 14.30
| sky | 14.8 | 14.6 | 14.9
| S/N | 10.6 | 17.8 | 18.3
| S/N(c) | 21.7 | 9.0 | 18.5
| SN(E/C) | 0.98
|
|
|
|
|
|
|
12660072
| 47
| | Red | Green | Blue
| z | | 18.59
| znorm | | 14.41
| sky | 14.7 | 14.5 | 14.8
| S/N | 11.2 | 19.2 | 20.0
| S/N(c) | 23.2 | 9.5 | 19.9
| SN(E/C) | 0.97
|
|
|
|
|
|
|
12660073
| 47
| | Red | Green | Blue
| z | | 18.57
| znorm | | 14.39
| sky | 14.6 | 14.6 | 14.9
| S/N | 11.1 | 19.2 | 20.0
| S/N(c) | 22.9 | 9.4 | 19.5
| SN(E/C) | 0.96
|
|
|
|
|
|
|
12660074
| 47
| | Red | Green | Blue
| z | | 18.45
| znorm | | 14.27
| sky | 14.6 | 14.6 | 14.9
| S/N | 10.0 | 17.7 | 18.9
| S/N(c) | 21.4 | 8.9 | 18.1
| SN(E/C) | 0.93
|
|
|
|
|
|
|
12660075
| 47
| | Red | Green | Blue
| z | | 18.51
| znorm | | 14.33
| sky | 14.8 | 14.6 | 14.8
| S/N | 10.9 | 18.3 | 19.1
| S/N(c) | 21.9 | 9.1 | 18.9
| SN(E/C) | 0.96
|
|
|
|
|
|
|
12660076
| 47
| | Red | Green | Blue
| z | | 18.62
| znorm | | 14.44
| sky | 14.7 | 14.5 | 14.7
| S/N | 11.8 | 19.8 | 20.5
| S/N(c) | 23.9 | 9.6 | 20.0
| SN(E/C) | 0.95
|
|
|
|
|
|
|
12660077
| 47
| | Red | Green | Blue
| z | | 18.71
| znorm | | 14.53
| sky | 14.5 | 14.5 | 14.6
| S/N | 12.3 | 20.7 | 21.5
| S/N(c) | 24.7 | 10.0 | 20.9
| SN(E/C) | 0.92
|
|
|
|
|
|
|