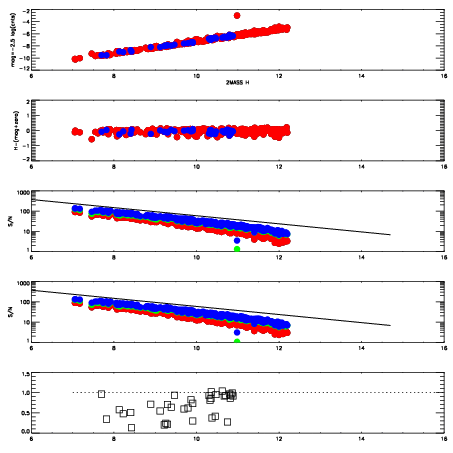
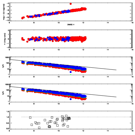
Frame | Nreads | Zeropoints | Mag plots
| Spatial mag deviation
| Spatial sky 16325A emission deviations (filled: sky, open: star)
| Spatial sky continuum emission
| Spatial sky telluric CO2 absorption deviations (filled: H < 10)
|
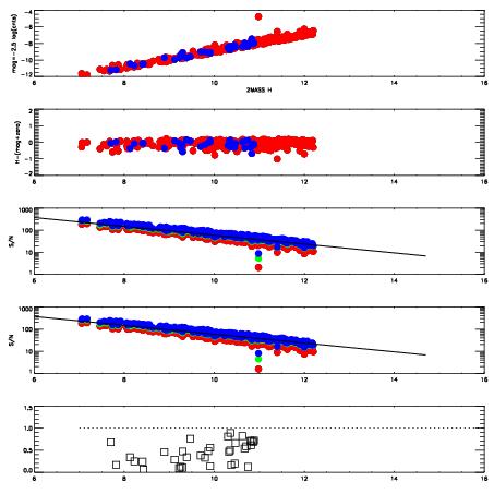
12710039
| 47
| | Red | Green | Blue
| z | | 18.97
| znorm | | 14.79
| sky | 14.3 | 14.0 | 14.1
| S/N | 13.4 | 22.4 | 22.1
| S/N(c) | 19.1 | 12.9 | 7.2
| SN(E/C) | 0.46
|
|
|
|
|
|
|
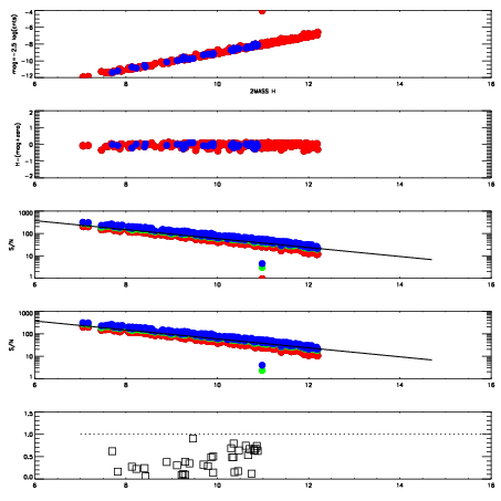
12710040
| 47
| | Red | Green | Blue
| z | | 18.96
| znorm | | 14.78
| sky | 14.4 | 14.2 | 14.4
| S/N | 13.5 | 22.5 | 22.9
| S/N(c) | 19.0 | 12.8 | 7.3
| SN(E/C) | 0.47
|
|
|
|
|
|
|
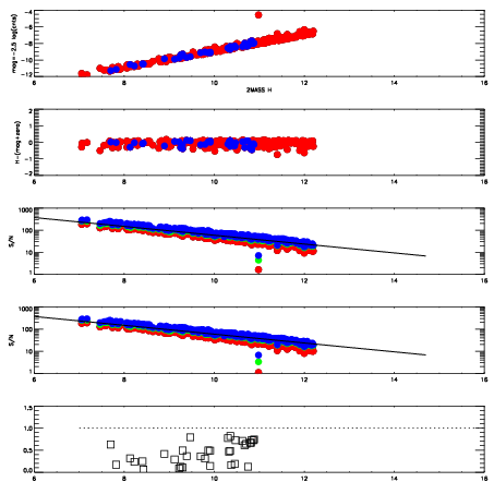
12710041
| 47
| | Red | Green | Blue
| z | | 18.39
| znorm | | 14.21
| sky | 14.6 | 14.3 | 14.6
| S/N | 8.5 | 15.4 | 16.3
| S/N(c) | 13.9 | 9.6 | 5.4
| SN(E/C) | 0.55
|
|
|
|
|
|
|
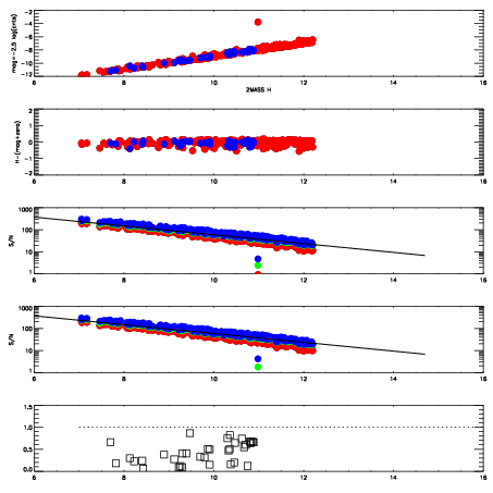
12710042
| 47
| | Red | Green | Blue
| z | | 17.66
| znorm | | 13.48
| sky | 14.5 | 14.5 | 15.0
| S/N | 4.8 | 9.7 | 10.9
| S/N(c) | 8.7 | 6.4 | 3.7
| SN(E/C) | 0.65
|
|
|
|
|
|
|
12710043
| 47
| | Red | Green | Blue
| z | | 17.31
| znorm | | 13.13
| sky | 14.6 | 14.6 | 15.0
| S/N | 3.4 | 7.7 | 8.6
| S/N(c) | 7.0 | 5.4 | 3.1
| SN(E/C) | 0.71
|
|
|
|
|
|
|
12710044
| 47
| | Red | Green | Blue
| z | | 17.45
| znorm | | 13.27
| sky | 14.8 | 14.7 | 14.9
| S/N | 4.6 | 9.0 | 9.7
| S/N(c) | 7.7 | 6.0 | 3.5
| SN(E/C) | 0.69
|
|
|
|
|
|
|
12710045
| 47
| | Red | Green | Blue
| z | | 18.98
| znorm | | 14.80
| sky | 14.4 | 14.3 | 14.4
| S/N | 13.5 | 22.9 | 23.7
| S/N(c) | 20.0 | 13.3 | 7.3
| SN(E/C) | 0.41
|
|
|
|
|
|
|
12710046
| 47
| | Red | Green | Blue
| z | | 19.09
| znorm | | 14.90
| sky | 14.2 | 14.2 | 14.3
| S/N | 14.3 | 24.2 | 25.5
| S/N(c) | 21.6 | 14.0 | 8.1
| SN(E/C) | 0.38
|
|
|
|
|
|
|