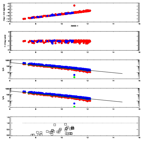
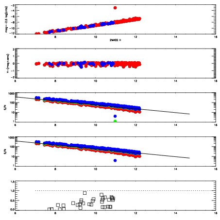
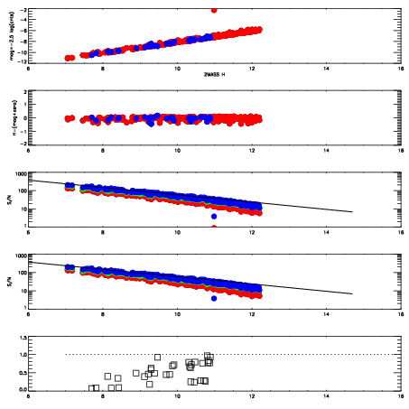
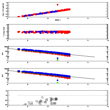
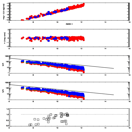
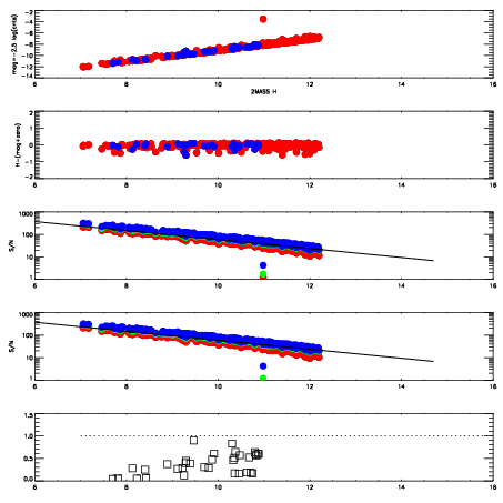
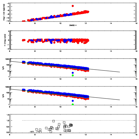
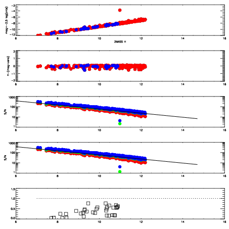
Frame | Nreads | Zeropoints | Mag plots
| Spatial mag deviation
| Spatial sky 16325A emission deviations (filled: sky, open: star)
| Spatial sky continuum emission
| Spatial sky telluric CO2 absorption deviations (filled: H < 10)
|
12730066
| 47
| | Red | Green | Blue
| z | | 19.06
| znorm | | 14.87
| sky | 14.2 | 14.0 | 13.9
| S/N | 16.1 | 25.3 | 25.9
| S/N(c) | 25.5 | 13.5 | 7.7
| SN(E/C) | 0.39
|
|
|
|
|
|
|
12730067
| 47
| | Red | Green | Blue
| z | | 19.09
| znorm | | 14.91
| sky | 14.3 | 14.0 | 14.1
| S/N | 16.3 | 25.6 | 26.7
| S/N(c) | 25.5 | 13.6 | 7.8
| SN(E/C) | 0.39
|
|
|
|
|
|
|
12730068
| 47
| | Red | Green | Blue
| z | | 19.12
| znorm | | 14.94
| sky | 14.2 | 14.1 | 14.1
| S/N | 16.9 | 26.4 | 27.0
| S/N(c) | 26.0 | 13.9 | 8.0
| SN(E/C) | 0.38
|
|
|
|
|
|
|
12730069
| 47
| | Red | Green | Blue
| z | | 19.14
| znorm | | 14.96
| sky | 14.2 | 14.1 | 14.1
| S/N | 16.8 | 26.6 | 27.8
| S/N(c) | 26.5 | 14.1 | 8.1
| SN(E/C) | 0.35
|
|
|
|
|
|
|
12730070
| 47
| | Red | Green | Blue
| z | | 19.10
| znorm | | 14.92
| sky | 14.4 | 14.2 | 14.2
| S/N | 16.6 | 26.3 | 27.4
| S/N(c) | 25.9 | 13.9 | 8.0
| SN(E/C) | 0.39
|
|
|
|
|
|
|
12730071
| 47
| | Red | Green | Blue
| z | | 19.05
| znorm | | 14.87
| sky | 14.3 | 14.2 | 14.2
| S/N | 16.3 | 25.8 | 26.6
| S/N(c) | 25.7 | 13.6 | 7.9
| SN(E/C) | 0.38
|
|
|
|
|
|
|
12730072
| 47
| | Red | Green | Blue
| z | | 19.08
| znorm | | 14.90
| sky | 14.3 | 14.1 | 14.2
| S/N | 16.4 | 26.1 | 27.2
| S/N(c) | 25.6 | 13.7 | 8.0
| SN(E/C) | 0.36
|
|
|
|
|
|
|
12730073
| 47
| | Red | Green | Blue
| z | | 19.03
| znorm | | 14.85
| sky | 14.2 | 14.3 | 14.2
| S/N | 15.9 | 25.4 | 26.9
| S/N(c) | 25.2 | 13.3 | 7.8
| SN(E/C) | 0.40
|
|
|
|
|
|
|
12730074
| 47
| | Red | Green | Blue
| z | | 18.16
| znorm | | 13.98
| sky | 14.6 | 14.5 | 14.6
| S/N | 8.7 | 15.5 | 16.8
| S/N(c) | 14.8 | 8.6 | 5.0
| SN(E/C) | 0.49
|
|
|
|
|
|
|
12730075
| 47
| | Red | Green | Blue
| z | | 17.04
| znorm | | 12.86
| sky | 14.6 | 14.8 | 15.0
| S/N | 3.1 | 7.2 | 8.0
| S/N(c) | 6.9 | 4.6 | 2.8
| SN(E/C) | 0.69
|
|
|
|
|
|
|