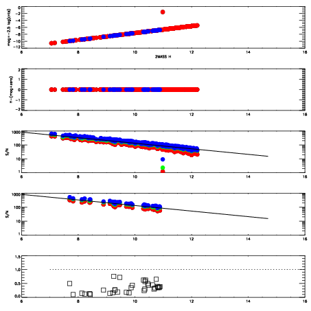
Left plots: red are targets, blue are telluric. Observed mags are calculated from median value of green chip. Zeropoint gives overall throughput: bigger number is more throughput.
First spatial plots: circles are objects, squares are tellurics, crosses are sky fibers. Colors give deviation of observed mag from expected 2MASS mag using the median zeropoint; red is brighter
Second spatial plots: circles are sky fibers. Colors give sky line brightness relative to plate median sky line brightness
FrameNreadsZeropointsMag plots Spatial mag deviation Spatial sky 16325A emission deviations (filled: sky, open: star) Spatial sky continuum emission Spatial sky telluric CO2 absorption deviations (filled: H < 10)
0 0
RedGreenBlue
z17.64
znorm Inf
sky -Inf -Inf -Inf
S/N 29.1 50.0 53.1
S/N(c) 0.0 0.0 0.0
SN(E/C) 0.35

IPAIRNAMESHIFTNEWSHIFTS/N NAMESHIFTNEWSHIFTS/N
0 12730075 0.484312 0.00000 17.0318 12730074 -0.000249371 0.484561 18.1629
1 12730068 0.483340 0.000972003 19.1185 12730069 -0.000348964 0.484661 19.1379
2 12730072 0.483428 0.000883996 19.0880 12730070 -0.000288650 0.484601 19.0997
3 12730067 0.480679 0.00363299 19.0836 12730066 0.00000 0.484312 19.0516
4 12730071 0.483402 0.000909984 19.0535 12730073 -0.00188663 0.486199 19.0280