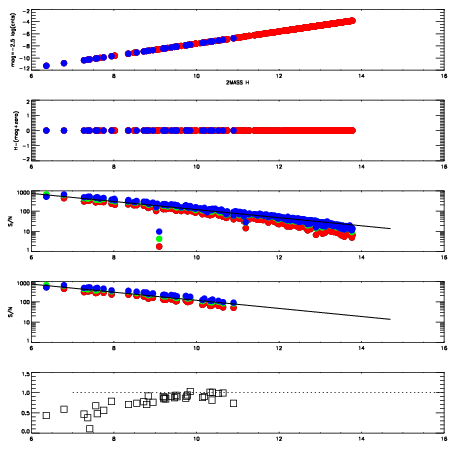
Left plots: red are targets, blue are telluric. Observed mags are calculated from median value of green chip. Zeropoint gives overall throughput: bigger number is more throughput.
First spatial plots: circles are objects, squares are tellurics, crosses are sky fibers. Colors give deviation of observed mag from expected 2MASS mag using the median zeropoint; red is brighter
Second spatial plots: circles are sky fibers. Colors give sky line brightness relative to plate median sky line brightness
FrameNreadsZeropointsMag plots Spatial mag deviation Spatial sky 16325A emission deviations (filled: sky, open: star) Spatial sky continuum emission Spatial sky telluric CO2 absorption deviations (filled: H < 10)
0 0
RedGreenBlue
z17.64
znorm Inf
sky -Inf -Inf -Inf
S/N 24.2 43.0 44.4
S/N(c) 0.0 0.0 0.0
SN(E/C) 0.84

IPAIRNAMESHIFTNEWSHIFTS/N NAMESHIFTNEWSHIFTS/N
0 12570060 0.490113 0.00000 19.1470 12570062 -0.00127477 0.491388 19.0810
1 12570061 0.490113 0.00000 19.0716 12570059 0.000264567 0.489848 19.0201
2 12570057 0.490057 5.59986e-05 18.9505 12570058 0.000216526 0.489896 18.8106
3 12570056 0.489467 0.000645995 18.7748 12570055 0.00000 0.490113 18.7240