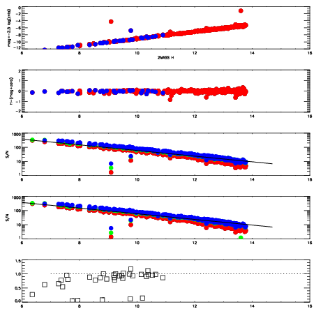
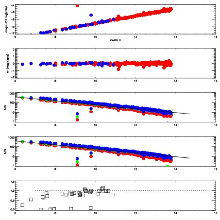
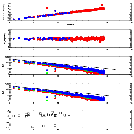
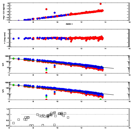
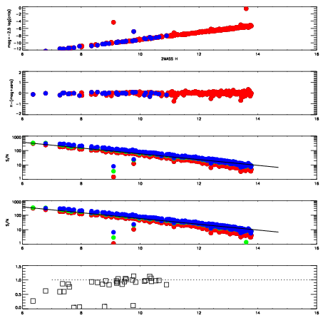
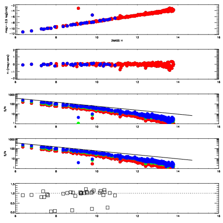
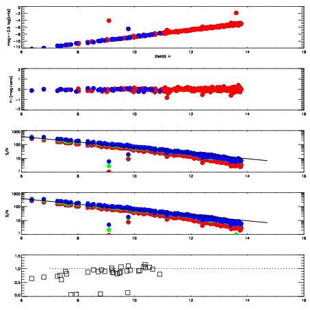
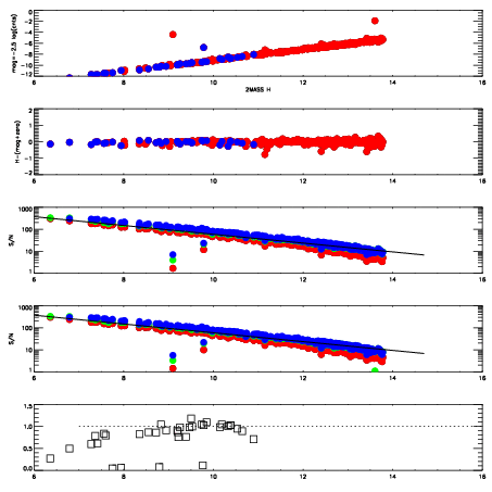
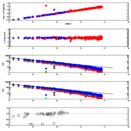
Frame | Nreads | Zeropoints | Mag plots
| Spatial mag deviation
| Spatial sky 16325A emission deviations (filled: sky, open: star)
| Spatial sky continuum emission
| Spatial sky telluric CO2 absorption deviations (filled: H < 10)
|
12620066
| 47
| | Red | Green | Blue
| z | | 19.09
| znorm | | 14.91
| sky | 14.4 | 14.4 | 14.5
| S/N | 15.6 | 24.8 | 26.3
| S/N(c) | 13.5 | 38.1 | 35.9
| SN(E/C) | 0.85
|
|
|
|
|
|
|
12620067
| 47
| | Red | Green | Blue
| z | | 19.11
| znorm | | 14.93
| sky | 14.8 | 14.7 | 14.7
| S/N | 15.9 | 24.7 | 27.2
| S/N(c) | 13.7 | 39.2 | 37.6
| SN(E/C) | 0.92
|
|
|
|
|
|
|
12620068
| 47
| | Red | Green | Blue
| z | | 19.11
| znorm | | 14.93
| sky | 14.5 | 14.4 | 14.9
| S/N | 15.8 | 24.7 | 27.4
| S/N(c) | 13.8 | 39.3 | 37.6
| SN(E/C) | 0.85
|
|
|
|
|
|
|
12620069
| 47
| | Red | Green | Blue
| z | | 19.13
| znorm | | 14.95
| sky | 14.5 | 14.6 | 14.8
| S/N | 15.7 | 25.2 | 27.5
| S/N(c) | 13.8 | 39.6 | 38.1
| SN(E/C) | 0.87
|
|
|
|
|
|
|
12620070
| 47
| | Red | Green | Blue
| z | | 19.12
| znorm | | 14.94
| sky | 14.6 | 14.5 | 14.6
| S/N | 15.8 | 25.1 | 27.3
| S/N(c) | 13.7 | 39.7 | 37.6
| SN(E/C) | 0.86
|
|
|
|
|
|
|
12620071
| 47
| | Red | Green | Blue
| z | | 19.12
| znorm | | 14.94
| sky | 14.5 | 14.6 | 14.8
| S/N | 15.8 | 25.0 | 27.2
| S/N(c) | 13.9 | 39.9 | 38.0
| SN(E/C) | 0.87
|
|
|
|
|
|
|
12620072
| 47
| | Red | Green | Blue
| z | | 18.77
| znorm | | 14.59
| sky | 14.0 | 14.0 | 14.1
| S/N | 12.0 | 19.7 | 21.1
| S/N(c) | 11.2 | 33.5 | 32.3
| SN(E/C) | 0.89
|
|
|
|
|
|
|
12620073
| 47
| | Red | Green | Blue
| z | | 17.57
| znorm | | 13.39
| sky | 13.4 | 13.4 | 13.4
| S/N | 4.4 | 8.3 | 8.5
| S/N(c) | 5.0 | 16.8 | 17.0
| SN(E/C) | 1.01
|
|
|
|
|
|
|
12620074
| 47
| | Red | Green | Blue
| z | | 18.14
| znorm | | 13.96
| sky | 13.6 | 13.5 | 13.5
| S/N | 7.2 | 12.5 | 12.8
| S/N(c) | 7.4 | 22.3 | 23.2
| SN(E/C) | 0.95
|
|
|
|
|
|
|
12620075
| 47
| | Red | Green | Blue
| z | | 17.53
| znorm | | 13.35
| sky | 13.3 | 13.3 | 13.4
| S/N | 4.3 | 8.0 | 8.4
| S/N(c) | 4.9 | 15.9 | 15.5
| SN(E/C) | 1.07
|
|
|
|
|
|
|