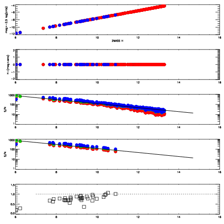
Left plots: red are targets, blue are telluric. Observed mags are calculated from median value of green chip. Zeropoint gives overall throughput: bigger number is more throughput.
First spatial plots: circles are objects, squares are tellurics, crosses are sky fibers. Colors give deviation of observed mag from expected 2MASS mag using the median zeropoint; red is brighter
Second spatial plots: circles are sky fibers. Colors give sky line brightness relative to plate median sky line brightness
FrameNreadsZeropointsMag plots Spatial mag deviation Spatial sky 16325A emission deviations (filled: sky, open: star) Spatial sky continuum emission Spatial sky telluric CO2 absorption deviations (filled: H < 10)
0 0
RedGreenBlue
z17.63
znorm Inf
sky -NaN -NaN -Inf
S/N 26.6 45.7 48.7
S/N(c) 0.0 0.0 0.0
SN(E/C) 0.78

IPAIRNAMESHIFTNEWSHIFTS/N NAMESHIFTNEWSHIFTS/N
0 12550076 0.491582 0.00000 19.0471 12550070 0.00000 0.491582 18.9849
1 12550072 0.489920 0.00166202 19.1109 12550073 -0.00367312 0.495255 19.1388
2 12550075 0.491164 0.000418007 19.0807 12550074 -0.00366158 0.495244 19.0828
3 12550071 0.489088 0.00249401 19.0671 12550077 -0.00185001 0.493432 19.0033