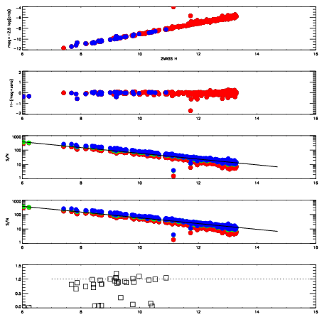
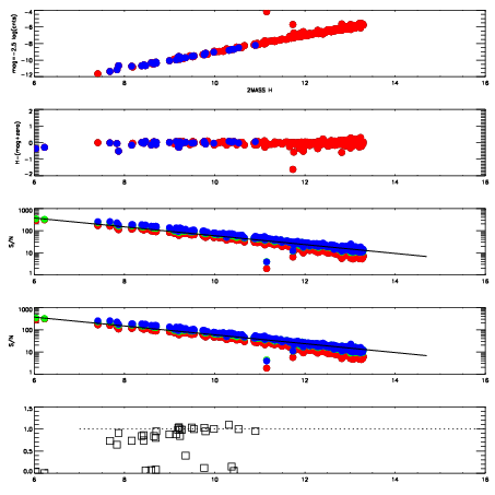
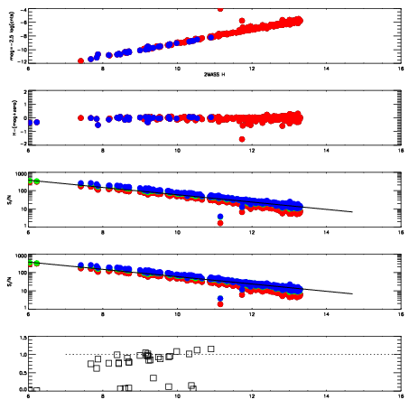
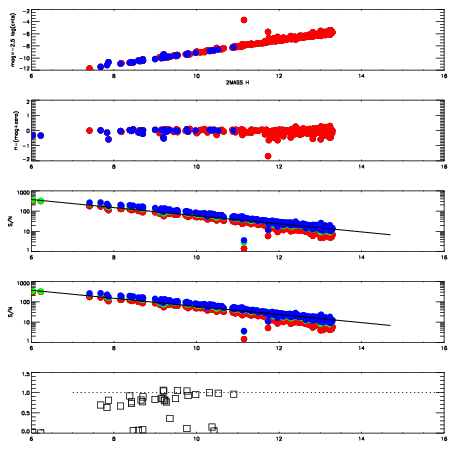
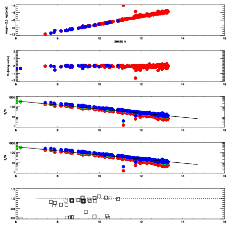
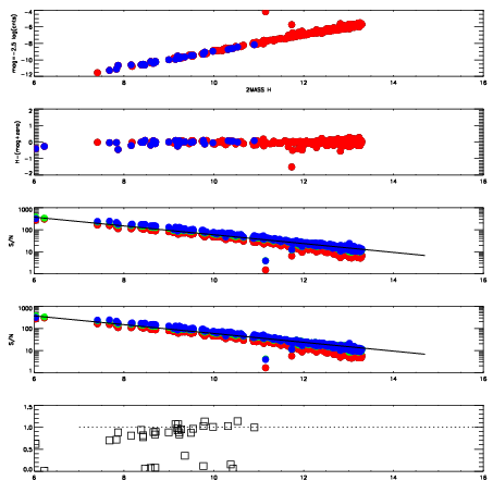
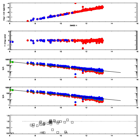
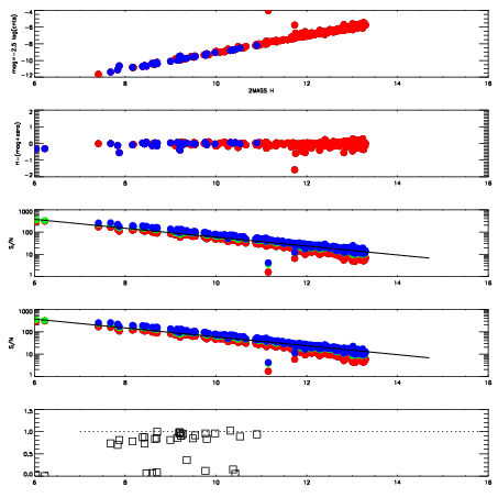
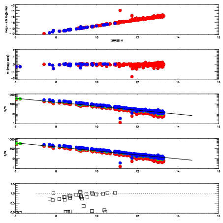
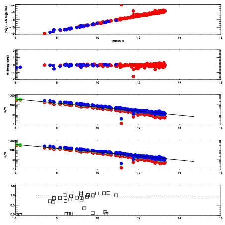
Frame | Nreads | Zeropoints | Mag plots
| Spatial mag deviation
| Spatial sky 16325A emission deviations (filled: sky, open: star)
| Spatial sky continuum emission
| Spatial sky telluric CO2 absorption deviations (filled: H < 10)
|
12740080
| 47
| | Red | Green | Blue
| z | | 18.98
| znorm | | 14.80
| sky | 14.7 | 14.6 | 14.8
| S/N | 14.7 | 23.6 | 24.8
| S/N(c) | 14.8 | 17.2 | 24.9
| SN(E/C) | 0.88
|
|
|
|
|
|
|
12740081
| 47
| | Red | Green | Blue
| z | | 19.02
| znorm | | 14.84
| sky | 15.0 | 14.7 | 15.1
| S/N | 15.1 | 24.1 | 25.5
| S/N(c) | 15.1 | 17.4 | 24.6
| SN(E/C) | 0.86
|
|
|
|
|
|
|
12740082
| 47
| | Red | Green | Blue
| z | | 19.05
| znorm | | 14.87
| sky | 14.7 | 14.8 | 15.1
| S/N | 15.3 | 24.9 | 26.3
| S/N(c) | 15.5 | 17.9 | 24.9
| SN(E/C) | 0.86
|
|
|
|
|
|
|
12740083
| 47
| | Red | Green | Blue
| z | | 19.07
| znorm | | 14.89
| sky | 14.7 | 14.9 | 15.1
| S/N | 15.4 | 25.2 | 26.4
| S/N(c) | 15.5 | 18.0 | 25.3
| SN(E/C) | 0.85
|
|
|
|
|
|
|
12740084
| 47
| | Red | Green | Blue
| z | | 19.07
| znorm | | 14.89
| sky | 14.6 | 14.7 | 15.2
| S/N | 15.5 | 25.2 | 26.4
| S/N(c) | 15.6 | 18.0 | 25.4
| SN(E/C) | 0.87
|
|
|
|
|
|
|
12740085
| 47
| | Red | Green | Blue
| z | | 19.07
| znorm | | 14.89
| sky | 14.6 | 14.8 | 15.5
| S/N | 15.4 | 25.2 | 26.4
| S/N(c) | 15.4 | 17.9 | 25.6
| SN(E/C) | 0.85
|
|
|
|
|
|
|
12740086
| 47
| | Red | Green | Blue
| z | | 19.08
| znorm | | 14.90
| sky | 14.7 | 14.8 | 15.2
| S/N | 15.6 | 25.3 | 26.7
| S/N(c) | 15.5 | 18.3 | 26.0
| SN(E/C) | 0.87
|
|
|
|
|
|
|
12740087
| 47
| | Red | Green | Blue
| z | | 19.10
| znorm | | 14.92
| sky | 14.6 | 14.8 | 15.2
| S/N | 15.6 | 25.6 | 26.8
| S/N(c) | 15.6 | 18.4 | 26.3
| SN(E/C) | 0.81
|
|
|
|
|
|
|
12740088
| 47
| | Red | Green | Blue
| z | | 19.12
| znorm | | 14.94
| sky | 14.9 | 14.8 | 15.4
| S/N | 16.1 | 25.7 | 27.2
| S/N(c) | 15.6 | 18.6 | 26.4
| SN(E/C) | 0.81
|
|
|
|
|
|
|
12740089
| 47
| | Red | Green | Blue
| z | | 19.14
| znorm | | 14.96
| sky | 14.8 | 15.0 | 15.2
| S/N | 16.3 | 26.1 | 27.7
| S/N(c) | 15.9 | 18.8 | 26.5
| SN(E/C) | 0.83
|
|
|
|
|
|
|