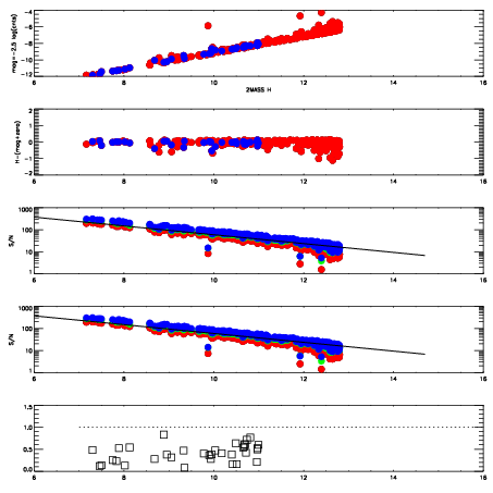
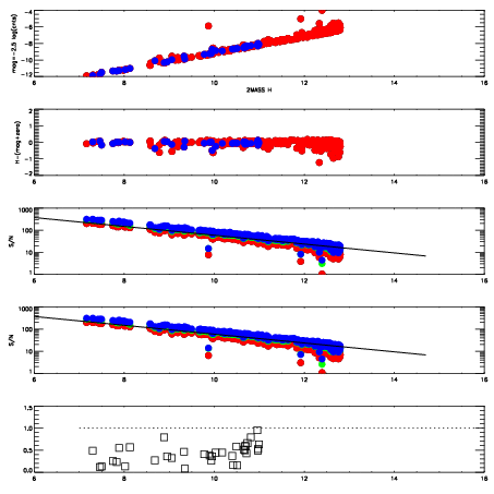
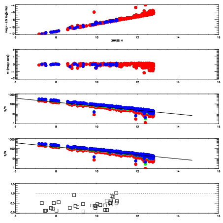
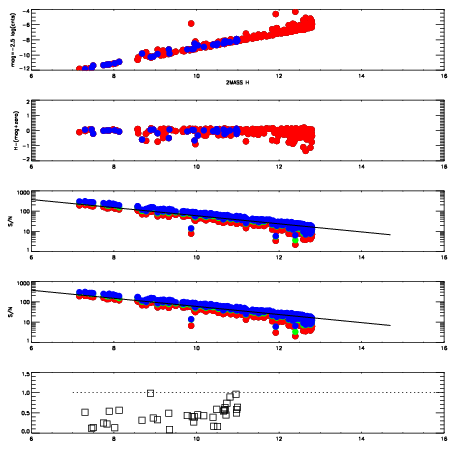
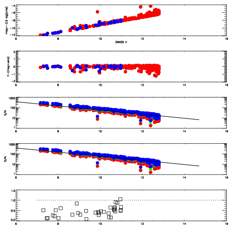
Frame | Nreads | Zeropoints | Mag plots
| Spatial mag deviation
| Spatial sky 16325A emission deviations (filled: sky, open: star)
| Spatial sky continuum emission
| Spatial sky telluric CO2 absorption deviations (filled: H < 10)
|
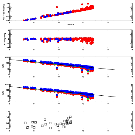
12860034
| 47
| | Red | Green | Blue
| z | | 19.03
| znorm | | 14.85
| sky | 14.4 | 14.1 | 14.1
| S/N | 15.2 | 24.0 | 25.5
| S/N(c) | 31.3 | 31.4 | 37.5
| SN(E/C) | 0.49
|
|
|
|
|
|
|
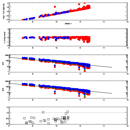
12860035
| 47
| | Red | Green | Blue
| z | | 19.09
| znorm | | 14.91
| sky | 14.6 | 14.1 | 14.3
| S/N | 15.6 | 24.5 | 26.5
| S/N(c) | 32.3 | 31.9 | 38.2
| SN(E/C) | 0.44
|
|
|
|
|
|
|
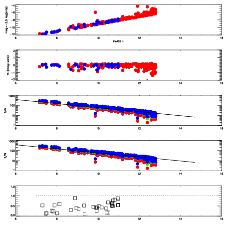
12860036
| 47
| | Red | Green | Blue
| z | | 19.11
| znorm | | 14.93
| sky | 14.5 | 14.4 | 14.5
| S/N | 16.0 | 24.9 | 26.8
| S/N(c) | 32.7 | 32.3 | 38.7
| SN(E/C) | 0.45
|
|
|
|
|
|
|
12860037
| 47
| | Red | Green | Blue
| z | | 19.11
| znorm | | 14.93
| sky | 14.6 | 14.4 | 14.5
| S/N | 16.0 | 24.8 | 26.8
| S/N(c) | 34.3 | 33.8 | 39.8
| SN(E/C) | 0.44
|
|
|
|
|
|
|
12860038
| 47
| | Red | Green | Blue
| z | | 19.13
| znorm | | 14.95
| sky | 14.5 | 14.4 | 14.6
| S/N | 16.0 | 25.1 | 27.3
| S/N(c) | 34.6 | 34.1 | 40.4
| SN(E/C) | 0.41
|
|
|
|
|
|
|
12860039
| 47
| | Red | Green | Blue
| z | | 19.12
| znorm | | 14.94
| sky | 14.5 | 14.5 | 14.5
| S/N | 16.3 | 25.1 | 27.2
| S/N(c) | 34.5 | 34.0 | 40.2
| SN(E/C) | 0.43
|
|
|
|
|
|
|
12860040
| 47
| | Red | Green | Blue
| z | | 19.15
| znorm | | 14.97
| sky | 14.5 | 14.5 | 14.6
| S/N | 16.3 | 25.7 | 28.0
| S/N(c) | 35.1 | 34.4 | 40.7
| SN(E/C) | 0.43
|
|
|
|
|
|
|
12860041
| 47
| | Red | Green | Blue
| z | | 19.15
| znorm | | 14.97
| sky | 14.6 | 14.6 | 14.5
| S/N | 16.4 | 25.3 | 27.9
| S/N(c) | 35.2 | 34.3 | 40.8
| SN(E/C) | 0.44
|
|
|
|
|
|
|