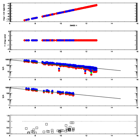
Left plots: red are targets, blue are telluric. Observed mags are calculated from median value of green chip. Zeropoint gives overall throughput: bigger number is more throughput.
First spatial plots: circles are objects, squares are tellurics, crosses are sky fibers. Colors give deviation of observed mag from expected 2MASS mag using the median zeropoint; red is brighter
Second spatial plots: circles are sky fibers. Colors give sky line brightness relative to plate median sky line brightness
FrameNreadsZeropointsMag plots Spatial mag deviation Spatial sky 16325A emission deviations (filled: sky, open: star) Spatial sky continuum emission Spatial sky telluric CO2 absorption deviations (filled: H < 10)
0 0
RedGreenBlue
z17.64
znorm Inf
sky -Inf -NaN -Inf
S/N 28.7 45.4 51.8
S/N(c) 0.0 0.0 0.0
SN(E/C) 0.29

IPAIRNAMESHIFTNEWSHIFTS/N NAMESHIFTNEWSHIFTS/N
0 12860036 0.477707 0.00000 19.0960 12860037 -0.00217099 0.479878 19.0955
1 12860040 0.475917 0.00178999 19.1426 12860041 -0.00153938 0.479246 19.1403
2 12860039 0.475751 0.00195599 19.1104 12860038 -0.00181612 0.479523 19.1162
3 12860035 0.476222 0.00148499 19.0846 12860034 0.00000 0.477707 19.0035