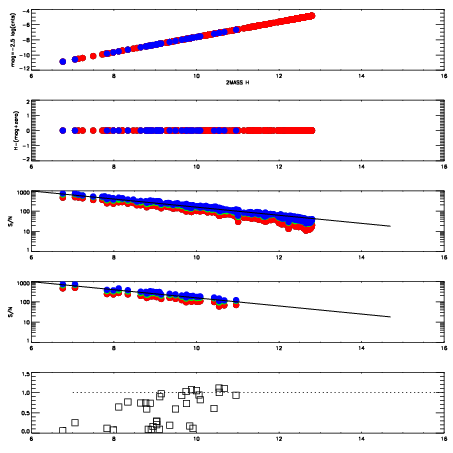
Left plots: red are targets, blue are telluric. Observed mags are calculated from median value of green chip. Zeropoint gives overall throughput: bigger number is more throughput.
First spatial plots: circles are objects, squares are tellurics, crosses are sky fibers. Colors give deviation of observed mag from expected 2MASS mag using the median zeropoint; red is brighter
Second spatial plots: circles are sky fibers. Colors give sky line brightness relative to plate median sky line brightness
FrameNreadsZeropointsMag plots Spatial mag deviation Spatial sky 16325A emission deviations (filled: sky, open: star) Spatial sky continuum emission Spatial sky telluric CO2 absorption deviations (filled: H < 10)
0 0
RedGreenBlue
z17.64
znorm Inf
sky -Inf -Inf -Inf
S/N 24.0 43.0 48.0
S/N(c) 0.0 0.0 0.0
SN(E/C) 0.64

IPAIRNAMESHIFTNEWSHIFTS/N NAMESHIFTNEWSHIFTS/N
0 15890069 0.493431 0.00000 18.5796 15890064 0.00477345 0.488658 18.4348
1 15890066 0.492859 0.000571996 18.8370 15890056 0.00000 0.493431 18.8503
2 15890057 0.487985 0.00544602 18.8072 15890067 0.00456962 0.488861 18.7595
3 15890065 0.492695 0.000735998 18.7446 15890059 0.000140690 0.493290 18.7477
4 15890058 0.487632 0.00579900 18.7241 15890063 0.00417083 0.489260 18.7430
5 15890061 0.490198 0.00323302 18.7160 15890068 0.00553290 0.487898 18.6378
6 15890062 0.490091 0.00334001 18.7043 15890060 0.000987060 0.492444 18.5853