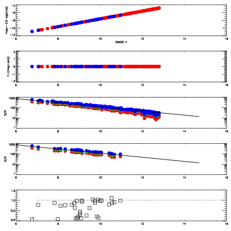
Left plots: red are targets, blue are telluric. Observed mags are calculated from median value of green chip. Zeropoint gives overall throughput: bigger number is more throughput.
First spatial plots: circles are objects, squares are tellurics, crosses are sky fibers. Colors give deviation of observed mag from expected 2MASS mag using the median zeropoint; red is brighter
Second spatial plots: circles are sky fibers. Colors give sky line brightness relative to plate median sky line brightness
FrameNreadsZeropointsMag plots Spatial mag deviation Spatial sky 16325A emission deviations (filled: sky, open: star) Spatial sky continuum emission Spatial sky telluric CO2 absorption deviations (filled: H < 10)
0 0
RedGreenBlue
z17.64
znorm Inf
sky -Inf -Inf -Inf
S/N 21.2 38.0 40.9
S/N(c) 0.0 0.0 0.0
SN(E/C) 0.78

IPAIRNAMESHIFTNEWSHIFTS/N NAMESHIFTNEWSHIFTS/N
0 15920017 0.493696 0.00000 18.6631 15920018 -0.000913510 0.494610 18.6126
1 15920013 0.492192 0.00150400 18.8704 15920014 0.000547726 0.493148 18.8569
2 15920012 0.491683 0.00201300 18.8545 15920011 0.00000 0.493696 18.7536
3 15920016 0.491997 0.00169900 18.6793 15920015 0.000300100 0.493396 18.6583