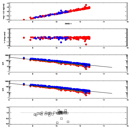
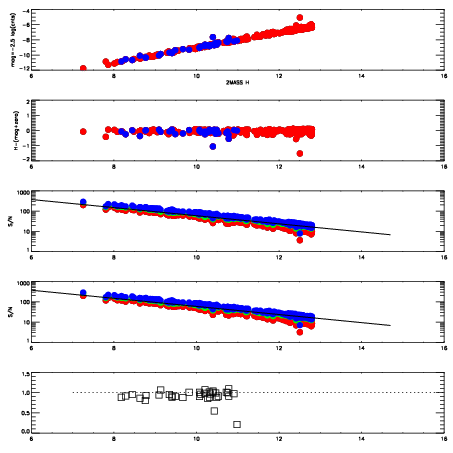
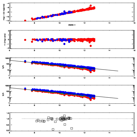
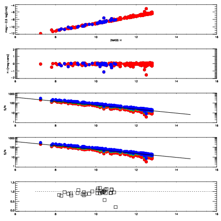
Left plots: red are targets, blue are telluric. Observed mags are calculated from median value of green chip. Zeropoint gives overall throughput: bigger number is more throughput.
First spatial plots: circles are objects, squares are tellurics, crosses are sky fibers. Colors give deviation of observed mag from expected 2MASS mag using the median zeropoint; red is brighter
Second spatial plots: circles are sky fibers. Colors give sky line brightness relative to plate median sky line brightness
FrameNreadsZeropointsMag plots Spatial mag deviation Spatial sky 16325A emission deviations (filled: sky, open: star) Spatial sky continuum emission Spatial sky telluric CO2 absorption deviations (filled: H < 10)
15910077 47
RedGreenBlue
z19.15
znorm14.97
sky 14.7 14.5 14.8
S/N 15.1 25.0 27.5
S/N(c) 36.6 36.0 18.4
SN(E/C) 0.96
15910078 47
RedGreenBlue
z19.13
znorm14.95
sky 14.7 14.6 14.7
S/N 15.1 24.9 27.2
S/N(c) 36.1 35.4 18.3
SN(E/C) 0.94
15910079 47
RedGreenBlue
z19.10
znorm14.92
sky 14.8 14.6 14.7
S/N 14.6 24.4 26.1
S/N(c) 36.1 35.1 18.5
SN(E/C) 0.96
15910080 47
RedGreenBlue
z19.09
znorm14.91
sky 14.9 14.6 14.7
S/N 15.0 23.7 26.5
S/N(c) 35.6 34.1 18.0
SN(E/C) 0.94