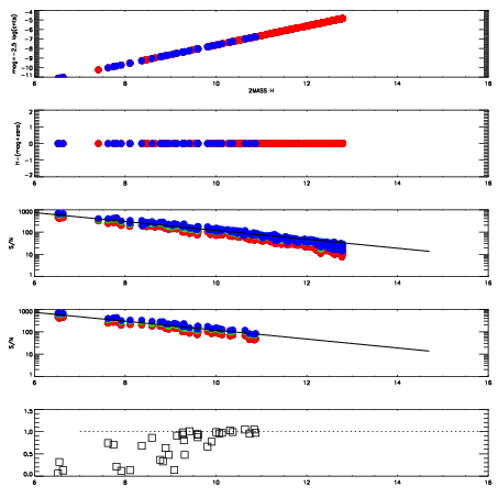
Left plots: red are targets, blue are telluric. Observed mags are calculated from median value of green chip. Zeropoint gives overall throughput: bigger number is more throughput.
First spatial plots: circles are objects, squares are tellurics, crosses are sky fibers. Colors give deviation of observed mag from expected 2MASS mag using the median zeropoint; red is brighter
Second spatial plots: circles are sky fibers. Colors give sky line brightness relative to plate median sky line brightness
FrameNreadsZeropointsMag plots Spatial mag deviation Spatial sky 16325A emission deviations (filled: sky, open: star) Spatial sky continuum emission Spatial sky telluric CO2 absorption deviations (filled: H < 10)
0 0
RedGreenBlue
z17.64
znorm Inf
sky -Inf -Inf -NaN
S/N 22.9 37.4 40.3
S/N(c) 0.0 0.0 0.0
SN(E/C) 0.80

IPAIRNAMESHIFTNEWSHIFTS/N NAMESHIFTNEWSHIFTS/N
0 13420013 0.509679 0.00000 18.7804 13420018 -0.00261711 0.512296 18.9490
1 13420012 0.509376 0.000303030 18.7167 13420015 -0.000320875 0.510000 18.8018
2 13420017 0.506715 0.00296402 18.6729 13420011 0.00000 0.509679 18.6542
3 13420016 0.505920 0.00375903 18.6238 13420014 0.000236338 0.509443 18.6533