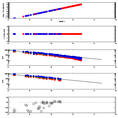
Left plots: red are targets, blue are telluric. Observed mags are calculated from median value of green chip. Zeropoint gives overall throughput: bigger number is more throughput.
First spatial plots: circles are objects, squares are tellurics, crosses are sky fibers. Colors give deviation of observed mag from expected 2MASS mag using the median zeropoint; red is brighter
Second spatial plots: circles are sky fibers. Colors give sky line brightness relative to plate median sky line brightness
FrameNreadsZeropointsMag plots Spatial mag deviation Spatial sky 16325A emission deviations (filled: sky, open: star) Spatial sky continuum emission Spatial sky telluric CO2 absorption deviations (filled: H < 10)
0 0
RedGreenBlue
z17.64
znorm Inf
sky -Inf -Inf -Inf
S/N 23.3 38.4 41.1
S/N(c) 0.0 0.0 0.0
SN(E/C) 0.89

IPAIRNAMESHIFTNEWSHIFTS/N NAMESHIFTNEWSHIFTS/N
0 15900073 0.00157363 0.00000 18.7126 15900070 -0.489909 0.491483 18.6761
1 15900076 0.00111608 0.000457550 18.7949 15900075 -0.488833 0.490407 18.8901
2 15900072 0.00104821 0.000525420 18.7702 15900074 -0.488903 0.490477 18.7032
3 15900069 0.00000 0.00157363 18.5630 15900071 -0.490013 0.491587 18.6161