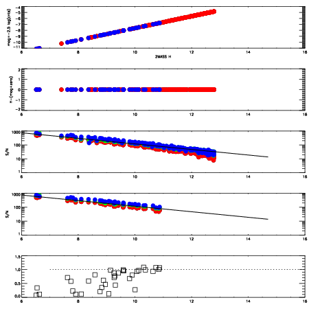
Left plots: red are targets, blue are telluric. Observed mags are calculated from median value of green chip. Zeropoint gives overall throughput: bigger number is more throughput.
First spatial plots: circles are objects, squares are tellurics, crosses are sky fibers. Colors give deviation of observed mag from expected 2MASS mag using the median zeropoint; red is brighter
Second spatial plots: circles are sky fibers. Colors give sky line brightness relative to plate median sky line brightness
FrameNreadsZeropointsMag plots Spatial mag deviation Spatial sky 16325A emission deviations (filled: sky, open: star) Spatial sky continuum emission Spatial sky telluric CO2 absorption deviations (filled: H < 10)
0 0
RedGreenBlue
z17.64
znorm Inf
sky -Inf -NaN -NaN
S/N 28.0 45.4 48.3
S/N(c) 0.0 0.0 0.0
SN(E/C) 0.71

IPAIRNAMESHIFTNEWSHIFTS/N NAMESHIFTNEWSHIFTS/N
0 16090066 0.493604 0.00000 18.9732 16090063 0.00199929 0.491605 18.9569
1 16090062 0.491561 0.00204301 18.9437 16090067 0.00278443 0.490820 18.9569
2 16090065 0.493251 0.000353009 18.9414 16090060 0.00000 0.493604 18.9462
3 16090061 0.491315 0.00228900 18.9367 16090064 0.00232077 0.491283 18.9449