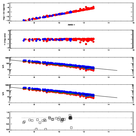
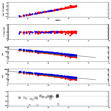
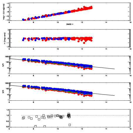
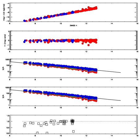
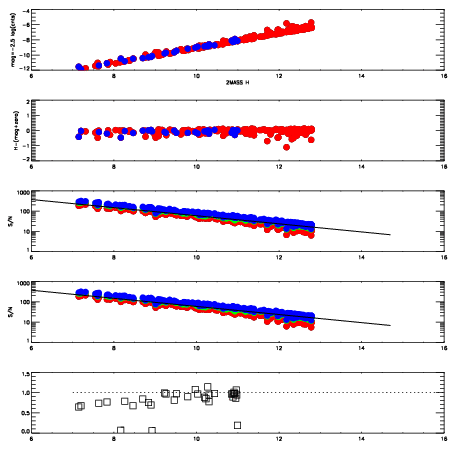
Frame | Nreads | Zeropoints | Mag plots
| Spatial mag deviation
| Spatial sky 16325A emission deviations (filled: sky, open: star)
| Spatial sky continuum emission
| Spatial sky telluric CO2 absorption deviations (filled: H < 10)
|
16130038
| 47
| | Red | Green | Blue
| z | | 19.05
| znorm | | 14.87
| sky | 14.3 | 14.3 | 14.3
| S/N | 14.9 | 24.6 | 26.9
| S/N(c) | 22.8 | 22.9 | 20.4
| SN(E/C) | 0.90
|
|
|
|
|
|
|
16130039
| 47
| | Red | Green | Blue
| z | | 19.05
| znorm | | 14.87
| sky | 14.5 | 14.5 | 14.4
| S/N | 14.8 | 24.4 | 26.7
| S/N(c) | 22.6 | 22.8 | 20.3
| SN(E/C) | 0.91
|
|
|
|
|
|
|
16130040
| 47
| | Red | Green | Blue
| z | | 19.07
| znorm | | 14.89
| sky | 14.4 | 14.5 | 14.5
| S/N | 14.6 | 24.3 | 26.9
| S/N(c) | 22.8 | 22.8 | 20.4
| SN(E/C) | 0.88
|
|
|
|
|
|
|
16130041
| 47
| | Red | Green | Blue
| z | | 19.09
| znorm | | 14.91
| sky | 14.4 | 14.4 | 14.6
| S/N | 15.1 | 24.5 | 27.5
| S/N(c) | 22.8 | 22.9 | 20.6
| SN(E/C) | 0.87
|
|
|
|
|
|
|
16130042
| 47
| | Red | Green | Blue
| z | | 19.07
| znorm | | 14.89
| sky | 14.6 | 14.5 | 14.6
| S/N | 14.8 | 24.2 | 27.5
| S/N(c) | 22.0 | 22.7 | 20.4
| SN(E/C) | 0.88
|
|
|
|
|
|
|
16130043
| 47
| | Red | Green | Blue
| z | | 18.96
| znorm | | 14.77
| sky | 14.3 | 14.6 | 14.6
| S/N | 13.7 | 23.3 | 25.8
| S/N(c) | 20.6 | 21.8 | 19.5
| SN(E/C) | 0.93
|
|
|
|
|
|
|
16130044
| 47
| | Red | Green | Blue
| z | | 19.11
| znorm | | 14.93
| sky | 14.5 | 14.5 | 14.6
| S/N | 15.6 | 25.1 | 28.1
| S/N(c) | 22.4 | 23.0 | 20.8
| SN(E/C) | 0.88
|
|
|
|
|
|
|
16130045
| 47
| | Red | Green | Blue
| z | | 19.11
| znorm | | 14.93
| sky | 14.5 | 14.5 | 14.6
| S/N | 15.7 | 25.3 | 28.3
| S/N(c) | 22.5 | 23.0 | 20.8
| SN(E/C) | 0.89
|
|
|
|
|
|
|