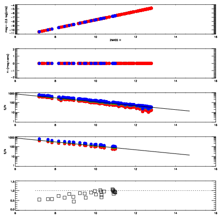
Left plots: red are targets, blue are telluric. Observed mags are calculated from median value of green chip. Zeropoint gives overall throughput: bigger number is more throughput.
First spatial plots: circles are objects, squares are tellurics, crosses are sky fibers. Colors give deviation of observed mag from expected 2MASS mag using the median zeropoint; red is brighter
Second spatial plots: circles are sky fibers. Colors give sky line brightness relative to plate median sky line brightness
FrameNreadsZeropointsMag plots Spatial mag deviation Spatial sky 16325A emission deviations (filled: sky, open: star) Spatial sky continuum emission Spatial sky telluric CO2 absorption deviations (filled: H < 10)
0 0
RedGreenBlue
z17.64
znorm Inf
sky -Inf -Inf -Inf
S/N 27.1 47.7 49.9
S/N(c) 0.0 0.0 0.0
SN(E/C) 0.86

IPAIRNAMESHIFTNEWSHIFTS/N NAMESHIFTNEWSHIFTS/N
0 16430061 0.488847 0.00000 19.1409 16430062 0.000165491 0.488681 19.1846
1 16430057 0.487833 0.00101399 19.1278 16430059 -8.73850e-05 0.488934 19.1262
2 16430060 0.488777 6.99759e-05 19.1173 16430058 0.000413647 0.488433 19.0977
3 16430056 0.488322 0.000524998 19.0709 16430055 0.00000 0.488847 18.9978