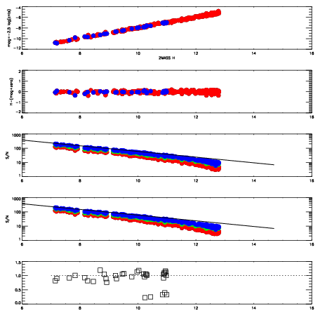
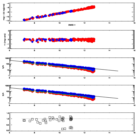
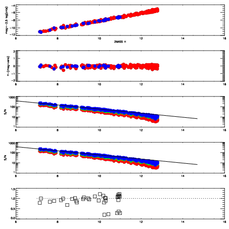
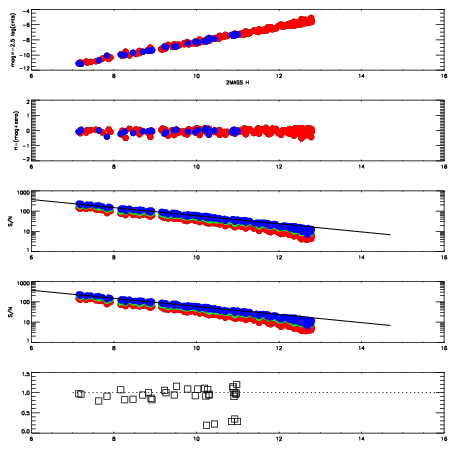
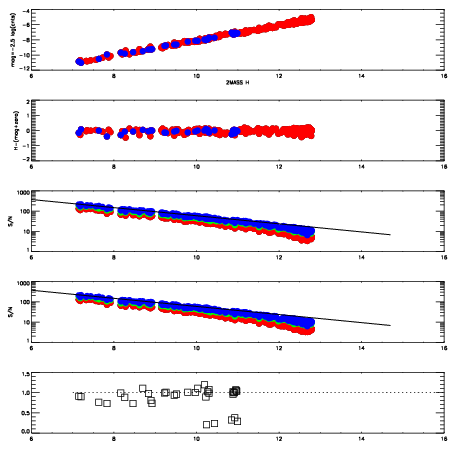
Left plots: red are targets, blue are telluric. Observed mags are calculated from median value of green chip. Zeropoint gives overall throughput: bigger number is more throughput.
First spatial plots: circles are objects, squares are tellurics, crosses are sky fibers. Colors give deviation of observed mag from expected 2MASS mag using the median zeropoint; red is brighter
Second spatial plots: circles are sky fibers. Colors give sky line brightness relative to plate median sky line brightness
FrameNreadsZeropointsMag plots Spatial mag deviation Spatial sky 16325A emission deviations (filled: sky, open: star) Spatial sky continuum emission Spatial sky telluric CO2 absorption deviations (filled: H < 10)
17050039 47
RedGreenBlue
z18.15
znorm13.97
sky 14.1 14.0 14.3
S/N 8.2 14.8 15.8
S/N(c) 18.1 22.1 17.4
SN(E/C) 0.98
17050040 47
RedGreenBlue
z17.99
znorm13.81
sky 14.2 14.2 14.2
S/N 7.2 13.7 14.0
S/N(c) 16.7 20.4 16.0
SN(E/C) 1.00
17050041 47
RedGreenBlue
z18.33
znorm14.15
sky 14.1 14.1 14.3
S/N 9.0 16.4 17.8
S/N(c) 20.3 24.6 19.2
SN(E/C) 0.95
17050042 47
RedGreenBlue
z18.26
znorm14.08
sky 14.1 14.1 14.1
S/N 8.7 16.0 16.9
S/N(c) 19.7 23.7 18.5
SN(E/C) 0.97
17050043 47
RedGreenBlue
z18.51
znorm14.33
sky 14.2 14.2 14.2
S/N 10.3 18.9 20.1
S/N(c) 21.9 26.4 20.5
SN(E/C) 0.92
17050044 47
RedGreenBlue
z18.66
znorm14.48
sky 14.2 14.1 14.1
S/N 11.6 20.2 21.8
S/N(c) 24.2 28.3 22.7
SN(E/C) 0.91