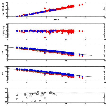
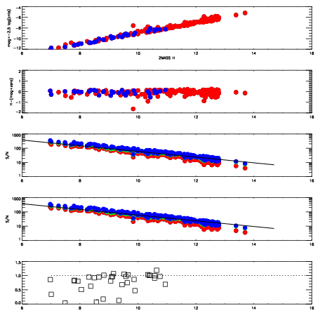
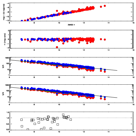
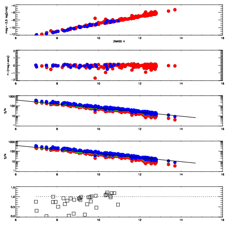
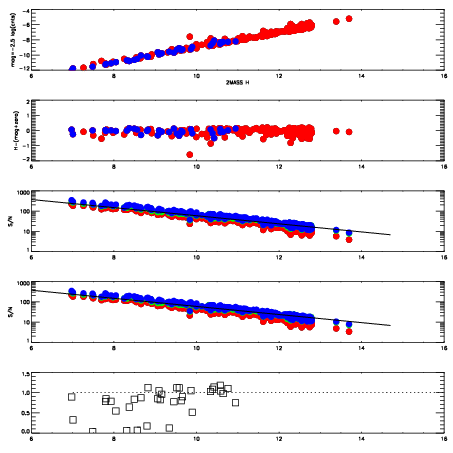
Frame | Nreads | Zeropoints | Mag plots
| Spatial mag deviation
| Spatial sky 16325A emission deviations (filled: sky, open: star)
| Spatial sky continuum emission
| Spatial sky telluric CO2 absorption deviations (filled: H < 10)
|
15820059
| 47
| | Red | Green | Blue
| z | | 19.02
| znorm | | 14.84
| sky | 14.3 | 14.1 | 14.3
| S/N | 15.4 | 22.2 | 24.8
| S/N(c) | 10.3 | 32.2 | 24.1
| SN(E/C) | 0.91
|
|
|
|
|
|
|
15820060
| 47
| | Red | Green | Blue
| z | | 19.01
| znorm | | 14.83
| sky | 14.4 | 14.3 | 14.4
| S/N | 14.7 | 22.6 | 25.0
| S/N(c) | 10.4 | 32.4 | 23.9
| SN(E/C) | 0.85
|
|
|
|
|
|
|
15820061
| 47
| | Red | Green | Blue
| z | | 19.07
| znorm | | 14.89
| sky | 14.4 | 14.2 | 14.4
| S/N | 15.7 | 23.6 | 25.6
| S/N(c) | 10.5 | 33.3 | 24.6
| SN(E/C) | 0.90
|
|
|
|
|
|
|
15820062
| 47
| | Red | Green | Blue
| z | | 19.08
| znorm | | 14.90
| sky | 14.3 | 14.2 | 14.3
| S/N | 15.6 | 23.8 | 25.6
| S/N(c) | 10.7 | 33.5 | 24.8
| SN(E/C) | 0.90
|
|
|
|
|
|
|
15820063
| 47
| | Red | Green | Blue
| z | | 19.10
| znorm | | 14.92
| sky | 14.3 | 14.2 | 14.4
| S/N | 16.0 | 24.2 | 26.3
| S/N(c) | 10.9 | 34.0 | 25.1
| SN(E/C) | 0.88
|
|
|
|
|
|
|
15820064
| 47
| | Red | Green | Blue
| z | | 19.08
| znorm | | 14.90
| sky | 14.6 | 14.4 | 14.4
| S/N | 16.0 | 23.8 | 25.5
| S/N(c) | 10.7 | 33.5 | 24.7
| SN(E/C) | 0.84
|
|
|
|
|
|
|
15820065
| 47
| | Red | Green | Blue
| z | | 19.03
| znorm | | 14.85
| sky | 14.5 | 14.3 | 14.4
| S/N | 15.4 | 23.3 | 24.9
| S/N(c) | 10.5 | 33.0 | 24.2
| SN(E/C) | 0.86
|
|
|
|
|
|
|
15820066
| 47
| | Red | Green | Blue
| z | | 19.03
| znorm | | 14.85
| sky | 14.5 | 14.3 | 14.5
| S/N | 15.3 | 23.3 | 24.6
| S/N(c) | 10.4 | 32.9 | 24.1
| SN(E/C) | 0.88
|
|
|
|
|
|
|