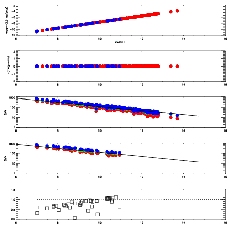
Left plots: red are targets, blue are telluric. Observed mags are calculated from median value of green chip. Zeropoint gives overall throughput: bigger number is more throughput.
First spatial plots: circles are objects, squares are tellurics, crosses are sky fibers. Colors give deviation of observed mag from expected 2MASS mag using the median zeropoint; red is brighter
Second spatial plots: circles are sky fibers. Colors give sky line brightness relative to plate median sky line brightness
FrameNreadsZeropointsMag plots Spatial mag deviation Spatial sky 16325A emission deviations (filled: sky, open: star) Spatial sky continuum emission Spatial sky telluric CO2 absorption deviations (filled: H < 10)
0 0
RedGreenBlue
z17.63
znorm Inf
sky -NaN -NaN -Inf
S/N 26.8 42.6 46.8
S/N(c) 0.0 0.0 0.0
SN(E/C) 0.80

IPAIRNAMESHIFTNEWSHIFTS/N NAMESHIFTNEWSHIFTS/N
0 15820063 0.00330116 0.00000 19.0908 15820064 -0.483098 0.486399 19.0610
1 15820062 0.00260299 0.000698170 19.0628 15820061 -0.483859 0.487160 19.0472
2 15820066 0.00160785 0.00169331 19.0169 15820065 -0.483333 0.486634 19.0173
3 15820059 0.00000 0.00330116 19.0033 15820060 -0.484421 0.487722 18.9924