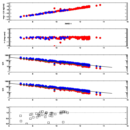
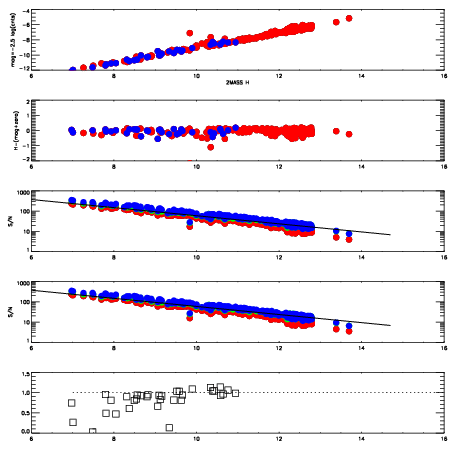
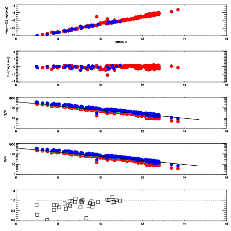
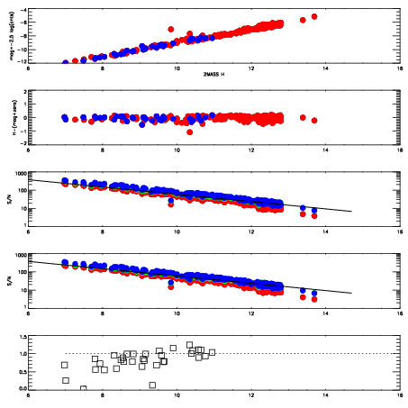
Frame | Nreads | Zeropoints | Mag plots
| Spatial mag deviation
| Spatial sky 16325A emission deviations (filled: sky, open: star)
| Spatial sky continuum emission
| Spatial sky telluric CO2 absorption deviations (filled: H < 10)
|
15910066
| 47
| | Red | Green | Blue
| z | | 19.01
| znorm | | 14.83
| sky | 14.6 | 14.5 | 14.6
| S/N | 13.4 | 22.3 | 24.5
| S/N(c) | 13.5 | 6.1 | 19.6
| SN(E/C) | 0.91
|
|
|
|
|
|
|
15910067
| 47
| | Red | Green | Blue
| z | | 19.09
| znorm | | 14.91
| sky | 14.6 | 14.4 | 14.6
| S/N | 13.8 | 23.1 | 25.0
| S/N(c) | 14.1 | 6.4 | 20.4
| SN(E/C) | 0.93
|
|
|
|
|
|
|
15910068
| 47
| | Red | Green | Blue
| z | | 19.10
| znorm | | 14.92
| sky | 14.6 | 14.6 | 14.8
| S/N | 14.9 | 23.3 | 26.0
| S/N(c) | 14.2 | 6.4 | 20.1
| SN(E/C) | 0.92
|
|
|
|
|
|
|
15910069
| 47
| | Red | Green | Blue
| z | | 19.09
| znorm | | 14.91
| sky | 14.8 | 14.6 | 14.6
| S/N | 14.7 | 23.6 | 25.6
| S/N(c) | 13.9 | 6.4 | 20.4
| SN(E/C) | 0.85
|
|
|
|
|
|
|
15910070
| 47
| | Red | Green | Blue
| z | | 19.11
| znorm | | 14.93
| sky | 14.7 | 14.6 | 14.7
| S/N | 15.1 | 24.4 | 26.4
| S/N(c) | 14.2 | 6.4 | 20.5
| SN(E/C) | 0.89
|
|
|
|
|
|
|
15910071
| 47
| | Red | Green | Blue
| z | | 19.15
| znorm | | 14.97
| sky | 14.7 | 14.7 | 14.7
| S/N | 15.5 | 25.1 | 26.9
| S/N(c) | 14.4 | 6.6 | 20.9
| SN(E/C) | 0.87
|
|
|
|
|
|
|
15910072
| 47
| | Red | Green | Blue
| z | | 19.10
| znorm | | 14.92
| sky | 14.6 | 14.7 | 14.8
| S/N | 15.3 | 24.7 | 26.4
| S/N(c) | 14.2 | 6.4 | 20.4
| SN(E/C) | 0.87
|
|
|
|
|
|
|
15910073
| 47
| | Red | Green | Blue
| z | | 19.10
| znorm | | 14.92
| sky | 14.7 | 14.7 | 14.7
| S/N | 15.0 | 24.7 | 25.9
| S/N(c) | 14.3 | 6.3 | 20.2
| SN(E/C) | 0.88
|
|
|
|
|
|
|