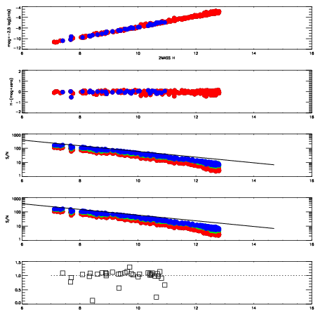
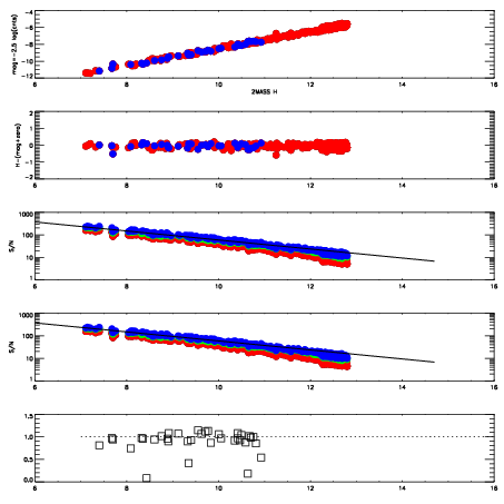
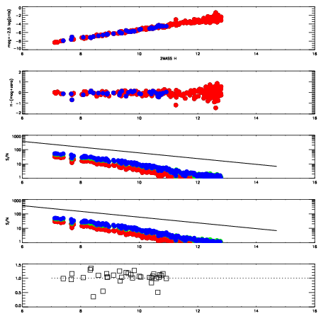
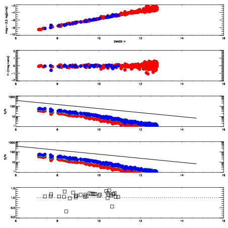
Left plots: red are targets, blue are telluric. Observed mags are calculated from median value of green chip. Zeropoint gives overall throughput: bigger number is more throughput.
First spatial plots: circles are objects, squares are tellurics, crosses are sky fibers. Colors give deviation of observed mag from expected 2MASS mag using the median zeropoint; red is brighter
Second spatial plots: circles are sky fibers. Colors give sky line brightness relative to plate median sky line brightness
FrameNreadsZeropointsMag plots Spatial mag deviation Spatial sky 16325A emission deviations (filled: sky, open: star) Spatial sky continuum emission Spatial sky telluric CO2 absorption deviations (filled: H < 10)
15320037 47
RedGreenBlue
z16.92
znorm12.74
sky 14.0 13.9 13.9
S/N 3.0 6.0 6.3
S/N(c) 4.5 1.8 4.0
SN(E/C) 1.06
15320038 47
RedGreenBlue
z18.55
znorm14.37
sky 14.6 14.4 14.6
S/N 11.0 18.2 20.5
S/N(c) 13.0 4.5 10.0
SN(E/C) 0.96
15320039 47
RedGreenBlue
z17.84
znorm13.66
sky 14.0 14.1 14.1
S/N 5.8 10.9 12.1
S/N(c) 8.1 3.0 6.6
SN(E/C) 1.05
15320040 47
RedGreenBlue
z16.63
znorm12.45
sky 13.7 13.7 13.7
S/N 2.2 4.6 4.8
S/N(c) 3.3 1.4 3.2
SN(E/C) 1.07
15320041 47
RedGreenBlue
z15.42
znorm11.23
sky 13.7 13.6 13.6
S/N 0.7 1.6 1.8
S/N(c) 1.1 0.6 1.2
SN(E/C) 1.04
15320042 47
RedGreenBlue
z15.66
znorm11.48
sky 13.7 13.7 13.6
S/N 0.8 2.0 2.0
S/N(c) 1.5 0.7 1.4
SN(E/C) 1.14