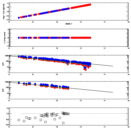
Left plots: red are targets, blue are telluric. Observed mags are calculated from median value of green chip. Zeropoint gives overall throughput: bigger number is more throughput.
First spatial plots: circles are objects, squares are tellurics, crosses are sky fibers. Colors give deviation of observed mag from expected 2MASS mag using the median zeropoint; red is brighter
Second spatial plots: circles are sky fibers. Colors give sky line brightness relative to plate median sky line brightness
FrameNreadsZeropointsMag plots Spatial mag deviation Spatial sky 16325A emission deviations (filled: sky, open: star) Spatial sky continuum emission Spatial sky telluric CO2 absorption deviations (filled: H < 10)
0 0
RedGreenBlue
z17.64
znorm Inf
sky -Inf -Inf -NaN
S/N 27.7 48.1 50.0
S/N(c) 0.0 0.0 0.0
SN(E/C) 0.83

IPAIRNAMESHIFTNEWSHIFTS/N NAMESHIFTNEWSHIFTS/N
0 13740027 0.503715 0.00000 19.0719 13740026 0.00000 0.503715 19.0211
1 13740032 0.501885 0.00182998 19.1929 13740033 -0.00204667 0.505762 19.2065
2 13740031 0.501441 0.00227398 19.1786 13740030 -0.00166253 0.505378 19.2041
3 13740028 0.503629 8.59499e-05 19.0865 13740029 -0.00135017 0.505065 19.1510