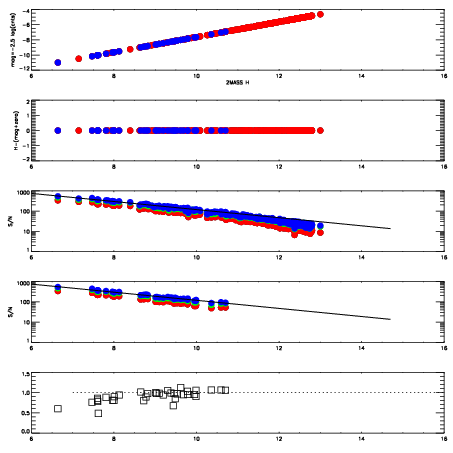
Left plots: red are targets, blue are telluric. Observed mags are calculated from median value of green chip. Zeropoint gives overall throughput: bigger number is more throughput.
First spatial plots: circles are objects, squares are tellurics, crosses are sky fibers. Colors give deviation of observed mag from expected 2MASS mag using the median zeropoint; red is brighter
Second spatial plots: circles are sky fibers. Colors give sky line brightness relative to plate median sky line brightness
FrameNreadsZeropointsMag plots Spatial mag deviation Spatial sky 16325A emission deviations (filled: sky, open: star) Spatial sky continuum emission Spatial sky telluric CO2 absorption deviations (filled: H < 10)
0 0
RedGreenBlue
z17.64
znorm Inf
sky -Inf -Inf -NaN
S/N 19.8 34.1 36.0
S/N(c) 0.0 0.0 0.0
SN(E/C) 0.95

IPAIRNAMESHIFTNEWSHIFTS/N NAMESHIFTNEWSHIFTS/N
0 13760013 0.508579 0.00000 18.2800 13760014 -0.000362767 0.508942 18.1330
1 13760017 0.506306 0.00227302 18.3215 13760015 -0.000135965 0.508715 18.9420
2 13760012 0.508237 0.000342011 18.2878 13760018 0.000971943 0.507607 18.7303
3 13760016 0.505721 0.00285804 18.2815 13760011 0.00000 0.508579 18.6344