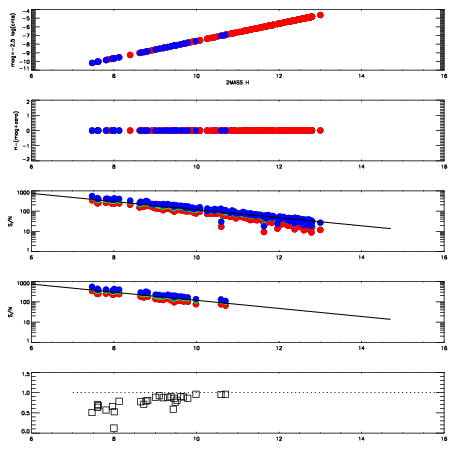
Left plots: red are targets, blue are telluric. Observed mags are calculated from median value of green chip. Zeropoint gives overall throughput: bigger number is more throughput.
First spatial plots: circles are objects, squares are tellurics, crosses are sky fibers. Colors give deviation of observed mag from expected 2MASS mag using the median zeropoint; red is brighter
Second spatial plots: circles are sky fibers. Colors give sky line brightness relative to plate median sky line brightness
FrameNreadsZeropointsMag plots Spatial mag deviation Spatial sky 16325A emission deviations (filled: sky, open: star) Spatial sky continuum emission Spatial sky telluric CO2 absorption deviations (filled: H < 10)
0 0
RedGreenBlue
z17.64
znorm Inf
sky -Inf -Inf -NaN
S/N 24.8 43.6 44.7
S/N(c) 0.0 0.0 0.0
SN(E/C) 0.81

IPAIRNAMESHIFTNEWSHIFTS/N NAMESHIFTNEWSHIFTS/N
0 16400027 0.494261 0.00000 18.9751 16400026 0.00359168 0.490669 18.9515
1 16400028 0.493935 0.000326008 19.0382 16400029 0.00345026 0.490811 19.0776
2 16400024 0.493061 0.00119999 18.8339 16400025 0.00264001 0.491621 18.8151
3 16400023 0.493122 0.00113899 18.7884 16400022 0.00000 0.494261 18.6549