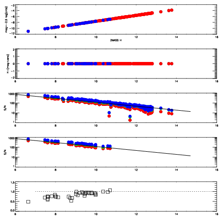
Left plots: red are targets, blue are telluric. Observed mags are calculated from median value of green chip. Zeropoint gives overall throughput: bigger number is more throughput.
First spatial plots: circles are objects, squares are tellurics, crosses are sky fibers. Colors give deviation of observed mag from expected 2MASS mag using the median zeropoint; red is brighter
Second spatial plots: circles are sky fibers. Colors give sky line brightness relative to plate median sky line brightness
FrameNreadsZeropointsMag plots Spatial mag deviation Spatial sky 16325A emission deviations (filled: sky, open: star) Spatial sky continuum emission Spatial sky telluric CO2 absorption deviations (filled: H < 10)
0 0
RedGreenBlue
z17.64
znorm Inf
sky -NaN -Inf -Inf
S/N 32.2 50.7 54.6
S/N(c) 0.0 0.0 0.0
SN(E/C) 0.83

IPAIRNAMESHIFTNEWSHIFTS/N NAMESHIFTNEWSHIFTS/N
0 13740013 0.504183 0.00000 19.1063 13740011 0.00000 0.504183 19.0761
1 13740012 0.503915 0.000267982 19.0778 13740015 0.000988665 0.503194 19.0513
2 13740017 0.502368 0.00181502 19.0503 13740018 0.000436338 0.503747 19.0502
3 13740016 0.501953 0.00222999 19.0428 13740014 0.00115491 0.503028 19.0028