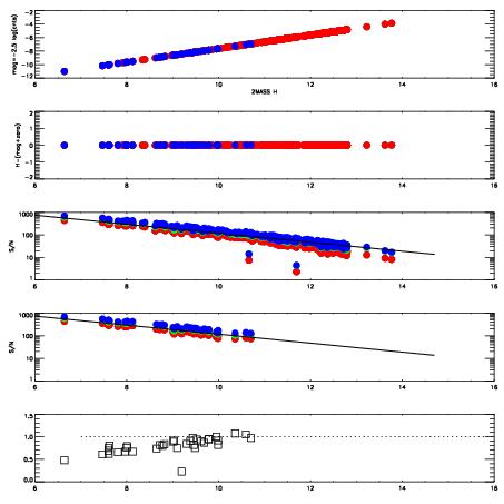
Left plots: red are targets, blue are telluric. Observed mags are calculated from median value of green chip. Zeropoint gives overall throughput: bigger number is more throughput.
First spatial plots: circles are objects, squares are tellurics, crosses are sky fibers. Colors give deviation of observed mag from expected 2MASS mag using the median zeropoint; red is brighter
Second spatial plots: circles are sky fibers. Colors give sky line brightness relative to plate median sky line brightness
FrameNreadsZeropointsMag plots Spatial mag deviation Spatial sky 16325A emission deviations (filled: sky, open: star) Spatial sky continuum emission Spatial sky telluric CO2 absorption deviations (filled: H < 10)
0 0
RedGreenBlue
z17.64
znorm Inf
sky -Inf -Inf -NaN
S/N 31.9 48.5 52.4
S/N(c) 0.0 0.0 0.0
SN(E/C) 0.82

IPAIRNAMESHIFTNEWSHIFTS/N NAMESHIFTNEWSHIFTS/N
0 13770017 0.507131 0.00000 19.0995 13770015 -0.000529635 0.507661 19.1207
1 13770016 0.506196 0.000934958 19.0828 13770014 -0.000495645 0.507627 19.1116
2 13770013 0.505571 0.00155997 19.0416 13770011 0.00000 0.507131 19.0437
3 13770012 0.505555 0.00157601 19.0360 13770018 0.00171923 0.505412 18.6660