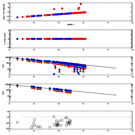
Left plots: red are targets, blue are telluric. Observed mags are calculated from median value of green chip. Zeropoint gives overall throughput: bigger number is more throughput.
First spatial plots: circles are objects, squares are tellurics, crosses are sky fibers. Colors give deviation of observed mag from expected 2MASS mag using the median zeropoint; red is brighter
Second spatial plots: circles are sky fibers. Colors give sky line brightness relative to plate median sky line brightness
FrameNreadsZeropointsMag plots Spatial mag deviation Spatial sky 16325A emission deviations (filled: sky, open: star) Spatial sky continuum emission Spatial sky telluric CO2 absorption deviations (filled: H < 10)
0 0
RedGreenBlue
z17.64
znorm Inf
sky -Inf -Inf -NaN
S/N 16.1 28.7 33.3
S/N(c) 0.0 0.0 0.0
SN(E/C) 0.44

IPAIRNAMESHIFTNEWSHIFTS/N NAMESHIFTNEWSHIFTS/N
0 17610048 0.515949 0.00000 18.5889 17610046 0.00240655 0.513542 18.6809
1 17610047 0.515182 0.000766993 18.5091 17610045 0.00217500 0.513774 18.6801
2 17610043 0.513426 0.00252301 18.3421 17610049 0.00463467 0.511314 18.6012
3 17610044 0.513645 0.00230402 17.8515 17610042 0.00000 0.515949 17.8429