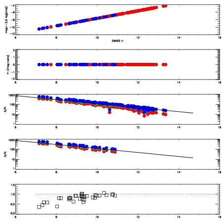
Left plots: red are targets, blue are telluric. Observed mags are calculated from median value of green chip. Zeropoint gives overall throughput: bigger number is more throughput.
First spatial plots: circles are objects, squares are tellurics, crosses are sky fibers. Colors give deviation of observed mag from expected 2MASS mag using the median zeropoint; red is brighter
Second spatial plots: circles are sky fibers. Colors give sky line brightness relative to plate median sky line brightness
FrameNreadsZeropointsMag plots Spatial mag deviation Spatial sky 16325A emission deviations (filled: sky, open: star) Spatial sky continuum emission Spatial sky telluric CO2 absorption deviations (filled: H < 10)
0 0
RedGreenBlue
z17.64
znorm Inf
sky -Inf -Inf -NaN
S/N 23.6 42.0 45.4
S/N(c) 0.0 0.0 0.0
SN(E/C) 0.83

IPAIRNAMESHIFTNEWSHIFTS/N NAMESHIFTNEWSHIFTS/N
0 13410043 0.509014 0.00000 19.0008 13410041 0.000837662 0.508176 18.9971
1 13410042 0.508313 0.000701010 19.0480 13410037 0.00000 0.509014 19.1047
2 13410039 0.508481 0.000532985 18.9743 13410040 0.00106104 0.507953 18.9124
3 13410038 0.508134 0.000880003 18.9723 13410044 0.000870439 0.508144 18.8922