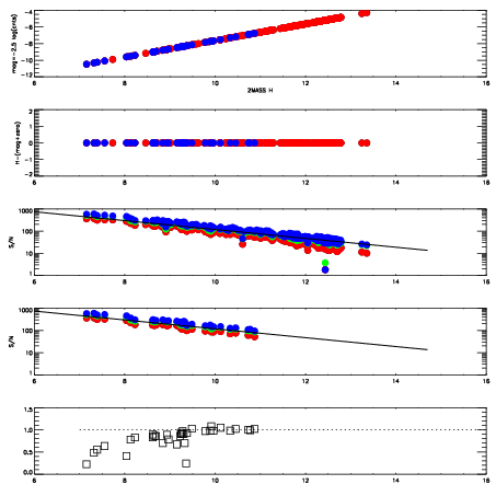
Left plots: red are targets, blue are telluric. Observed mags are calculated from median value of green chip. Zeropoint gives overall throughput: bigger number is more throughput.
First spatial plots: circles are objects, squares are tellurics, crosses are sky fibers. Colors give deviation of observed mag from expected 2MASS mag using the median zeropoint; red is brighter
Second spatial plots: circles are sky fibers. Colors give sky line brightness relative to plate median sky line brightness
FrameNreadsZeropointsMag plots Spatial mag deviation Spatial sky 16325A emission deviations (filled: sky, open: star) Spatial sky continuum emission Spatial sky telluric CO2 absorption deviations (filled: H < 10)
0 0
RedGreenBlue
z17.63
znorm Inf
sky -NaN -NaN -NaN
S/N 25.7 45.3 48.0
S/N(c) 0.0 0.0 0.0
SN(E/C) 0.89

IPAIRNAMESHIFTNEWSHIFTS/N NAMESHIFTNEWSHIFTS/N
0 13700032 0.505496 0.00000 19.0507 13700029 0.000245537 0.505251 19.0711
1 13700027 0.503683 0.00181305 19.0662 13700033 0.000568459 0.504928 19.0712
2 13700028 0.504076 0.00142002 19.0362 13700030 -0.000339518 0.505836 19.0566
3 13700031 0.505158 0.000338018 19.0332 13700026 0.00000 0.505496 19.0514