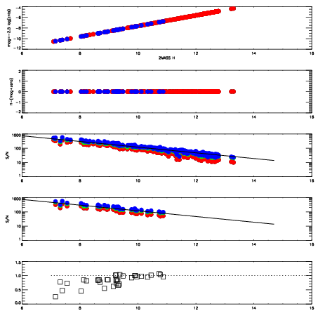
Left plots: red are targets, blue are telluric. Observed mags are calculated from median value of green chip. Zeropoint gives overall throughput: bigger number is more throughput.
First spatial plots: circles are objects, squares are tellurics, crosses are sky fibers. Colors give deviation of observed mag from expected 2MASS mag using the median zeropoint; red is brighter
Second spatial plots: circles are sky fibers. Colors give sky line brightness relative to plate median sky line brightness
FrameNreadsZeropointsMag plots Spatial mag deviation Spatial sky 16325A emission deviations (filled: sky, open: star) Spatial sky continuum emission Spatial sky telluric CO2 absorption deviations (filled: H < 10)
0 0
RedGreenBlue
z17.64
znorm Inf
sky -Inf -Inf -NaN
S/N 24.4 40.7 45.6
S/N(c) 0.0 0.0 0.0
SN(E/C) 0.85

IPAIRNAMESHIFTNEWSHIFTS/N NAMESHIFTNEWSHIFTS/N
0 13420038 0.504437 0.00000 18.8924 13420043 -0.00167040 0.506107 18.8814
1 13420042 0.503847 0.000590026 18.9467 13420039 -0.00167605 0.506113 18.9303
2 13420037 0.504411 2.60472e-05 18.8982 13420040 -0.00188890 0.506326 18.8894
3 13420041 0.504075 0.000362039 18.7826 13420036 0.00000 0.504437 18.8303