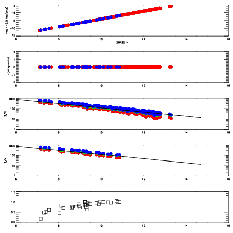
Left plots: red are targets, blue are telluric. Observed mags are calculated from median value of green chip. Zeropoint gives overall throughput: bigger number is more throughput.
First spatial plots: circles are objects, squares are tellurics, crosses are sky fibers. Colors give deviation of observed mag from expected 2MASS mag using the median zeropoint; red is brighter
Second spatial plots: circles are sky fibers. Colors give sky line brightness relative to plate median sky line brightness
FrameNreadsZeropointsMag plots Spatial mag deviation Spatial sky 16325A emission deviations (filled: sky, open: star) Spatial sky continuum emission Spatial sky telluric CO2 absorption deviations (filled: H < 10)
0 0
RedGreenBlue
z17.64
znorm Inf
sky -Inf -Inf -Inf
S/N 28.4 46.7 52.6
S/N(c) 0.0 0.0 0.0
SN(E/C) 0.84

IPAIRNAMESHIFTNEWSHIFTS/N NAMESHIFTNEWSHIFTS/N
0 16120024 0.495894 0.00000 19.1078 16120029 0.000624538 0.495269 19.0999
1 16120028 0.495749 0.000145018 19.1274 16120022 0.00000 0.495894 19.1118
2 16120027 0.495690 0.000204027 19.0953 16120026 0.000225264 0.495669 19.0884
3 16120023 0.495768 0.000126004 19.0855 16120025 0.000318788 0.495575 19.0488