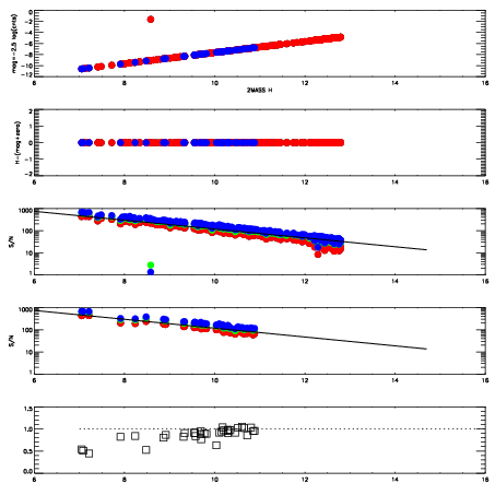
Left plots: red are targets, blue are telluric. Observed mags are calculated from median value of green chip. Zeropoint gives overall throughput: bigger number is more throughput.
First spatial plots: circles are objects, squares are tellurics, crosses are sky fibers. Colors give deviation of observed mag from expected 2MASS mag using the median zeropoint; red is brighter
Second spatial plots: circles are sky fibers. Colors give sky line brightness relative to plate median sky line brightness
FrameNreadsZeropointsMag plots Spatial mag deviation Spatial sky 16325A emission deviations (filled: sky, open: star) Spatial sky continuum emission Spatial sky telluric CO2 absorption deviations (filled: H < 10)
0 0
RedGreenBlue
z17.64
znorm Inf
sky -Inf -Inf -Inf
S/N 30.8 51.8 56.8
S/N(c) 0.0 0.0 0.0
SN(E/C) 0.91

IPAIRNAMESHIFTNEWSHIFTS/N NAMESHIFTNEWSHIFTS/N
0 13710027 0.500719 0.00000 19.1816 13710032 -0.00328918 0.504008 19.1934
1 13710030 0.497930 0.00278902 19.1953 13710029 -0.00228125 0.503000 19.2116
2 13710031 0.497832 0.00288701 19.1818 13710028 -0.00165967 0.502379 19.1978
3 13710026 0.500353 0.000366032 19.1725 13710025 0.00000 0.500719 19.1514