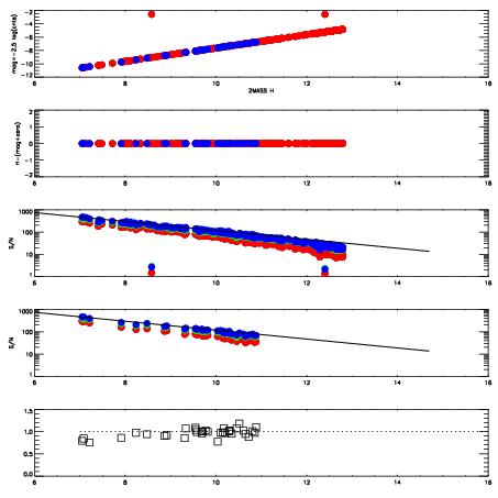
Left plots: red are targets, blue are telluric. Observed mags are calculated from median value of green chip. Zeropoint gives overall throughput: bigger number is more throughput.
First spatial plots: circles are objects, squares are tellurics, crosses are sky fibers. Colors give deviation of observed mag from expected 2MASS mag using the median zeropoint; red is brighter
Second spatial plots: circles are sky fibers. Colors give sky line brightness relative to plate median sky line brightness
FrameNreadsZeropointsMag plots Spatial mag deviation Spatial sky 16325A emission deviations (filled: sky, open: star) Spatial sky continuum emission Spatial sky telluric CO2 absorption deviations (filled: H < 10)
0 0
RedGreenBlue
z17.64
znorm Inf
sky -Inf -Inf -Inf
S/N 16.2 30.6 32.5
S/N(c) 0.0 0.0 0.0
SN(E/C) 0.98

IPAIRNAMESHIFTNEWSHIFTS/N NAMESHIFTNEWSHIFTS/N
0 13990028 0.500334 0.00000 18.0695 13990026 0.00105471 0.499279 18.1797
1 13990024 0.499055 0.00127903 18.4570 13990022 0.00000 0.500334 18.3894
2 13990023 0.498424 0.00191003 18.3233 13990025 0.000700116 0.499634 18.3678
3 13990027 0.500225 0.000109017 17.9641 13990029 0.00187298 0.498461 18.0500