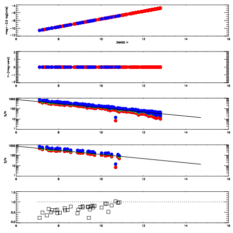
Left plots: red are targets, blue are telluric. Observed mags are calculated from median value of green chip. Zeropoint gives overall throughput: bigger number is more throughput.
First spatial plots: circles are objects, squares are tellurics, crosses are sky fibers. Colors give deviation of observed mag from expected 2MASS mag using the median zeropoint; red is brighter
Second spatial plots: circles are sky fibers. Colors give sky line brightness relative to plate median sky line brightness
FrameNreadsZeropointsMag plots Spatial mag deviation Spatial sky 16325A emission deviations (filled: sky, open: star) Spatial sky continuum emission Spatial sky telluric CO2 absorption deviations (filled: H < 10)
0 0
RedGreenBlue
z17.64
znorm Inf
sky -Inf -Inf -NaN
S/N 28.8 47.9 54.5
S/N(c) 0.0 0.0 0.0
SN(E/C) 0.69

IPAIRNAMESHIFTNEWSHIFTS/N NAMESHIFTNEWSHIFTS/N
0 13480034 0.503795 0.00000 19.2215 13480031 0.000439879 0.503355 19.2130
1 13480033 0.503116 0.000679016 19.2320 13480032 0.000826384 0.502969 19.2341
2 13480029 0.502637 0.00115800 19.1997 13480035 0.000451934 0.503343 19.2090
3 13480030 0.503136 0.000659049 19.1822 13480028 0.00000 0.503795 19.1839