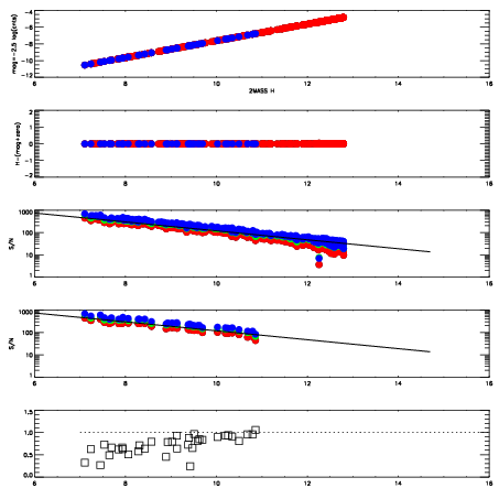
Left plots: red are targets, blue are telluric. Observed mags are calculated from median value of green chip. Zeropoint gives overall throughput: bigger number is more throughput.
First spatial plots: circles are objects, squares are tellurics, crosses are sky fibers. Colors give deviation of observed mag from expected 2MASS mag using the median zeropoint; red is brighter
Second spatial plots: circles are sky fibers. Colors give sky line brightness relative to plate median sky line brightness
FrameNreadsZeropointsMag plots Spatial mag deviation Spatial sky 16325A emission deviations (filled: sky, open: star) Spatial sky continuum emission Spatial sky telluric CO2 absorption deviations (filled: H < 10)
0 0
RedGreenBlue
z17.64
znorm Inf
sky -Inf -Inf -Inf
S/N 26.5 45.6 51.2
S/N(c) 0.0 0.0 0.0
SN(E/C) 0.73

IPAIRNAMESHIFTNEWSHIFTS/N NAMESHIFTNEWSHIFTS/N
0 13690032 0.504950 0.00000 19.1023 13690033 0.00127450 0.503675 19.0886
1 13690028 0.504789 0.000160992 19.1642 13690029 -0.000978067 0.505928 19.1659
2 13690027 0.504415 0.000535011 19.1536 13690026 0.00000 0.504950 19.1531
3 13690031 0.503626 0.00132400 19.1486 13690030 -0.000708238 0.505658 19.1346