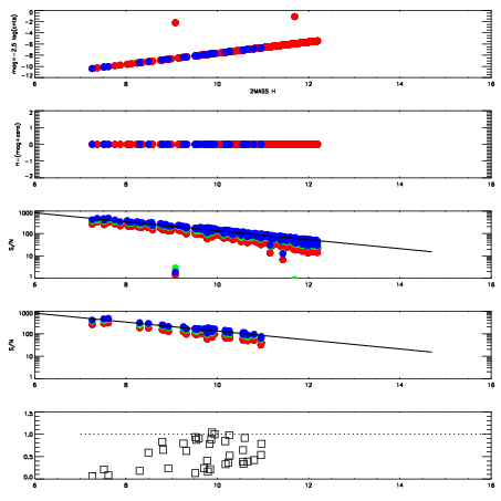
Left plots: red are targets, blue are telluric. Observed mags are calculated from median value of green chip. Zeropoint gives overall throughput: bigger number is more throughput.
First spatial plots: circles are objects, squares are tellurics, crosses are sky fibers. Colors give deviation of observed mag from expected 2MASS mag using the median zeropoint; red is brighter
Second spatial plots: circles are sky fibers. Colors give sky line brightness relative to plate median sky line brightness
FrameNreadsZeropointsMag plots Spatial mag deviation Spatial sky 16325A emission deviations (filled: sky, open: star) Spatial sky continuum emission Spatial sky telluric CO2 absorption deviations (filled: H < 10)
0 0
RedGreenBlue
z17.64
znorm Inf
sky -Inf -Inf -NaN
S/N 22.2 38.9 44.4
S/N(c) 0.0 0.0 0.0
SN(E/C) 0.54

IPAIRNAMESHIFTNEWSHIFTS/N NAMESHIFTNEWSHIFTS/N
0 14350022 0.501366 0.00000 18.3610 14350016 0.00000 0.501366 18.5686
1 14350021 0.500392 0.000974000 18.7777 14350020 0.00109426 0.500272 18.7335
2 14350017 0.499945 0.00142100 18.7132 14350019 0.000859711 0.500506 18.6990
3 14350018 0.500644 0.000721991 18.6226 14350023 0.00135964 0.500006 18.5695
4 14350025 0.500614 0.000752032 17.9386 14350024 0.00152235 0.499844 18.5600