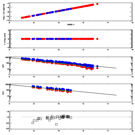
Left plots: red are targets, blue are telluric. Observed mags are calculated from median value of green chip. Zeropoint gives overall throughput: bigger number is more throughput.
First spatial plots: circles are objects, squares are tellurics, crosses are sky fibers. Colors give deviation of observed mag from expected 2MASS mag using the median zeropoint; red is brighter
Second spatial plots: circles are sky fibers. Colors give sky line brightness relative to plate median sky line brightness
FrameNreadsZeropointsMag plots Spatial mag deviation Spatial sky 16325A emission deviations (filled: sky, open: star) Spatial sky continuum emission Spatial sky telluric CO2 absorption deviations (filled: H < 10)
0 0
RedGreenBlue
z17.64
znorm Inf
sky -NaN -Inf -NaN
S/N 25.4 42.0 47.0
S/N(c) 0.0 0.0 0.0
SN(E/C) 0.98

IPAIRNAMESHIFTNEWSHIFTS/N NAMESHIFTNEWSHIFTS/N
0 14060028 0.498465 0.00000 19.0005 14060026 0.00000 0.498465 19.0130
1 14060027 0.498219 0.000245988 18.9987 14060029 0.00120449 0.497261 19.0016
2 14060032 0.498294 0.000171006 18.9606 14060033 0.00128624 0.497179 18.9984
3 14060031 0.498196 0.000268996 18.8519 14060030 0.00107291 0.497392 18.8912