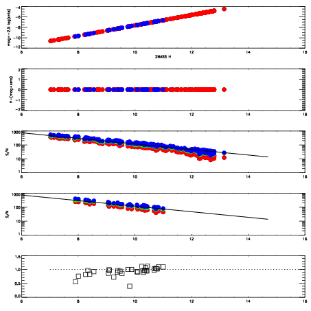
Left plots: red are targets, blue are telluric. Observed mags are calculated from median value of green chip. Zeropoint gives overall throughput: bigger number is more throughput.
First spatial plots: circles are objects, squares are tellurics, crosses are sky fibers. Colors give deviation of observed mag from expected 2MASS mag using the median zeropoint; red is brighter
Second spatial plots: circles are sky fibers. Colors give sky line brightness relative to plate median sky line brightness
FrameNreadsZeropointsMag plots Spatial mag deviation Spatial sky 16325A emission deviations (filled: sky, open: star) Spatial sky continuum emission Spatial sky telluric CO2 absorption deviations (filled: H < 10)
0 0
RedGreenBlue
z17.64
znorm Inf
sky -Inf -NaN -NaN
S/N 23.4 37.6 41.3
S/N(c) 0.0 0.0 0.0
SN(E/C) 0.96

IPAIRNAMESHIFTNEWSHIFTS/N NAMESHIFTNEWSHIFTS/N
0 14100017 0.499326 0.00000 18.8927 14100018 0.00348118 0.495845 18.8582
1 14100016 0.498999 0.000326991 18.8652 14100014 -0.000712592 0.500039 18.8110
2 14100013 0.498458 0.000867993 18.7079 14100015 -0.000932808 0.500259 18.8056
3 14100012 0.498875 0.000450999 18.6432 14100011 0.00000 0.499326 18.6229