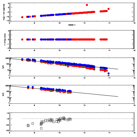
Left plots: red are targets, blue are telluric. Observed mags are calculated from median value of green chip. Zeropoint gives overall throughput: bigger number is more throughput.
First spatial plots: circles are objects, squares are tellurics, crosses are sky fibers. Colors give deviation of observed mag from expected 2MASS mag using the median zeropoint; red is brighter
Second spatial plots: circles are sky fibers. Colors give sky line brightness relative to plate median sky line brightness
FrameNreadsZeropointsMag plots Spatial mag deviation Spatial sky 16325A emission deviations (filled: sky, open: star) Spatial sky continuum emission Spatial sky telluric CO2 absorption deviations (filled: H < 10)
0 0
RedGreenBlue
z17.64
znorm Inf
sky -Inf -Inf -NaN
S/N 29.3 47.7 55.2
S/N(c) 0.0 0.0 0.0
SN(E/C) 0.87

IPAIRNAMESHIFTNEWSHIFTS/N NAMESHIFTNEWSHIFTS/N
0 13820012 0.502065 0.00000 19.0976 13820015 -0.000301389 0.502366 19.0846
1 13820016 0.501104 0.000961006 19.1974 13820014 -7.50566e-05 0.502140 19.1105
2 13820013 0.501455 0.000609994 19.1082 13820011 0.00000 0.502065 19.0871
3 13820017 0.501729 0.000335991 19.0383 13820018 -0.000772759 0.502838 19.0280