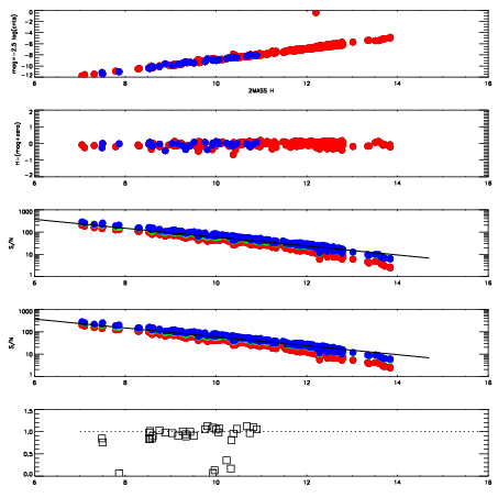
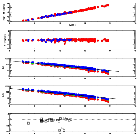
Frame | Nreads | Zeropoints | Mag plots
| Spatial mag deviation
| Spatial sky 16325A emission deviations (filled: sky, open: star)
| Spatial sky continuum emission
| Spatial sky telluric CO2 absorption deviations (filled: H < 10)
|
14310011
| 47
| | Red | Green | Blue
| z | | 18.95
| znorm | | 14.77
| sky | 14.4 | 14.1 | 14.1
| S/N | 15.3 | 25.9 | 27.7
| S/N(c) | 29.7 | 27.0 | 14.6
| SN(E/C) | 0.94
|
|
|
|
|
|
|
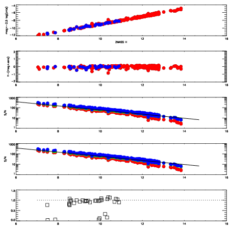
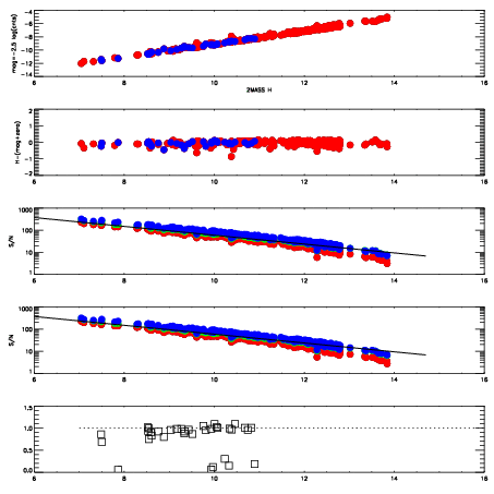
14310012
| 47
| | Red | Green | Blue
| z | | 19.14
| znorm | | 14.96
| sky | 14.5 | 14.4 | 14.2
| S/N | 17.0 | 27.7 | 29.7
| S/N(c) | 32.6 | 29.3 | 16.1
| SN(E/C) | 0.95
|
|
|
|
|
|
|
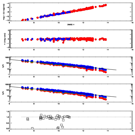
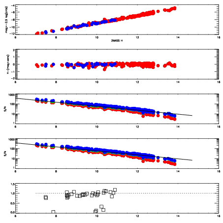
14310013
| 47
| | Red | Green | Blue
| z | | 19.06
| znorm | | 14.88
| sky | 14.3 | 14.2 | 14.2
| S/N | 15.9 | 26.5 | 28.3
| S/N(c) | 30.8 | 28.1 | 15.3
| SN(E/C) | 0.95
|
|
|
|
|
|
|
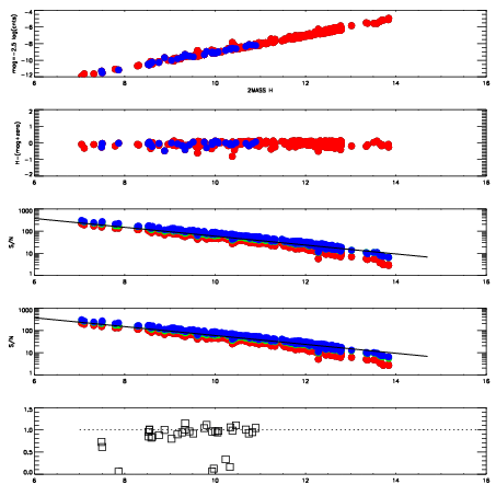
14310014
| 47
| | Red | Green | Blue
| z | | 19.05
| znorm | | 14.87
| sky | 14.4 | 14.3 | 14.1
| S/N | 15.7 | 26.0 | 27.9
| S/N(c) | 30.7 | 27.9 | 15.2
| SN(E/C) | 0.94
|
|
|
|
|
|
|
14310015
| 47
| | Red | Green | Blue
| z | | 19.01
| znorm | | 14.83
| sky | 14.4 | 14.2 | 14.1
| S/N | 15.4 | 25.7 | 27.7
| S/N(c) | 30.4 | 27.6 | 14.9
| SN(E/C) | 0.93
|
|
|
|
|
|
|
14310016
| 47
| | Red | Green | Blue
| z | | 19.00
| znorm | | 14.82
| sky | 14.6 | 14.5 | 14.3
| S/N | 15.3 | 25.5 | 27.6
| S/N(c) | 30.3 | 27.6 | 15.0
| SN(E/C) | 0.91
|
|
|
|
|
|
|
14310017
| 47
| | Red | Green | Blue
| z | | 18.88
| znorm | | 14.70
| sky | 14.6 | 14.4 | 14.3
| S/N | 13.8 | 23.9 | 25.6
| S/N(c) | 28.2 | 26.0 | 14.1
| SN(E/C) | 0.95
|
|
|
|
|
|
|
14310018
| 47
| | Red | Green | Blue
| z | | 18.90
| znorm | | 14.72
| sky | 14.4 | 14.4 | 14.2
| S/N | 13.8 | 24.2 | 25.9
| S/N(c) | 28.5 | 26.3 | 14.2
| SN(E/C) | 0.96
|
|
|
|
|
|
|