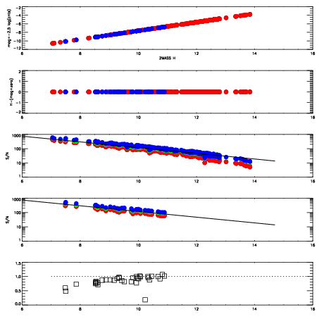
Left plots: red are targets, blue are telluric. Observed mags are calculated from median value of green chip. Zeropoint gives overall throughput: bigger number is more throughput.
First spatial plots: circles are objects, squares are tellurics, crosses are sky fibers. Colors give deviation of observed mag from expected 2MASS mag using the median zeropoint; red is brighter
Second spatial plots: circles are sky fibers. Colors give sky line brightness relative to plate median sky line brightness
FrameNreadsZeropointsMag plots Spatial mag deviation Spatial sky 16325A emission deviations (filled: sky, open: star) Spatial sky continuum emission Spatial sky telluric CO2 absorption deviations (filled: H < 10)
0 0
RedGreenBlue
z17.64
znorm Inf
sky -NaN -Inf -NaN
S/N 27.2 48.1 52.5
S/N(c) 0.0 0.0 0.0
SN(E/C) 0.88

IPAIRNAMESHIFTNEWSHIFTS/N NAMESHIFTNEWSHIFTS/N
0 14310013 0.499601 0.00000 19.0447 14310015 -0.00127104 0.500872 18.9973
1 14310012 0.498860 0.000741005 19.1307 14310014 -0.00106252 0.500664 19.0251
2 14310016 0.498127 0.00147399 18.9860 14310011 0.00000 0.499601 18.9402
3 14310017 0.499077 0.000524014 18.8626 14310018 0.000447334 0.499154 18.8796