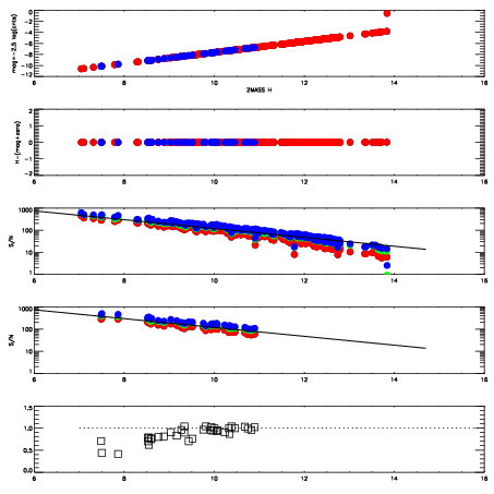
Left plots: red are targets, blue are telluric. Observed mags are calculated from median value of green chip. Zeropoint gives overall throughput: bigger number is more throughput.
First spatial plots: circles are objects, squares are tellurics, crosses are sky fibers. Colors give deviation of observed mag from expected 2MASS mag using the median zeropoint; red is brighter
Second spatial plots: circles are sky fibers. Colors give sky line brightness relative to plate median sky line brightness
FrameNreadsZeropointsMag plots Spatial mag deviation Spatial sky 16325A emission deviations (filled: sky, open: star) Spatial sky continuum emission Spatial sky telluric CO2 absorption deviations (filled: H < 10)
0 0
RedGreenBlue
z17.64
znorm Inf
sky -Inf -Inf -Inf
S/N 28.8 49.1 53.3
S/N(c) 0.0 0.0 0.0
SN(E/C) 0.91

IPAIRNAMESHIFTNEWSHIFTS/N NAMESHIFTNEWSHIFTS/N
0 14370017 0.498565 0.00000 19.0769 14370014 0.00146998 0.497095 19.0969
1 14370013 0.497143 0.00142199 19.0522 14370018 0.00272799 0.495837 19.0571
2 14370012 0.496579 0.00198600 19.0171 14370015 0.00160285 0.496962 19.0376
3 14370016 0.497764 0.000800997 18.9966 14370011 0.00000 0.498565 18.9160