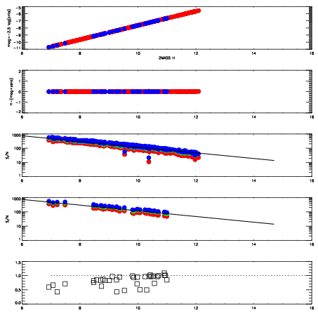
Left plots: red are targets, blue are telluric. Observed mags are calculated from median value of green chip. Zeropoint gives overall throughput: bigger number is more throughput.
First spatial plots: circles are objects, squares are tellurics, crosses are sky fibers. Colors give deviation of observed mag from expected 2MASS mag using the median zeropoint; red is brighter
Second spatial plots: circles are sky fibers. Colors give sky line brightness relative to plate median sky line brightness
FrameNreadsZeropointsMag plots Spatial mag deviation Spatial sky 16325A emission deviations (filled: sky, open: star) Spatial sky continuum emission Spatial sky telluric CO2 absorption deviations (filled: H < 10)
0 0
RedGreenBlue
z17.64
znorm Inf
sky -Inf -Inf -Inf
S/N 24.6 42.0 45.3
S/N(c) 0.0 0.0 0.0
SN(E/C) 0.85

IPAIRNAMESHIFTNEWSHIFTS/N NAMESHIFTNEWSHIFTS/N
0 14090013 0.495821 0.00000 18.9324 14090015 -0.000303401 0.496124 18.8252
1 14090012 0.494793 0.00102800 18.9833 14090011 0.00000 0.495821 19.0190
2 14090016 0.495042 0.000779003 18.9513 14090014 -0.000221915 0.496043 18.9189
3 14090017 0.495499 0.000321984 18.8478 14090018 0.000170219 0.495651 18.6943