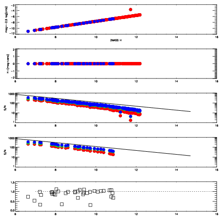
Left plots: red are targets, blue are telluric. Observed mags are calculated from median value of green chip. Zeropoint gives overall throughput: bigger number is more throughput.
First spatial plots: circles are objects, squares are tellurics, crosses are sky fibers. Colors give deviation of observed mag from expected 2MASS mag using the median zeropoint; red is brighter
Second spatial plots: circles are sky fibers. Colors give sky line brightness relative to plate median sky line brightness
FrameNreadsZeropointsMag plots Spatial mag deviation Spatial sky 16325A emission deviations (filled: sky, open: star) Spatial sky continuum emission Spatial sky telluric CO2 absorption deviations (filled: H < 10)
0 0
RedGreenBlue
z17.64
znorm Inf
sky -Inf -Inf -Inf
S/N 7.6 16.5 17.2
S/N(c) 0.0 0.0 0.0
SN(E/C) 0.96

IPAIRNAMESHIFTNEWSHIFTS/N NAMESHIFTNEWSHIFTS/N
0 13990043 0.500269 0.00000 17.5068 13990044 0.000124811 0.500144 17.7123
1 13990042 0.499541 0.000727981 17.5053 13990041 -0.000186978 0.500456 17.5021
2 13990039 0.499409 0.000860006 17.4731 13990040 -0.000457023 0.500726 17.3524
3 13990038 0.499497 0.000771999 17.2881 13990037 0.00000 0.500269 17.2741