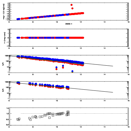
Left plots: red are targets, blue are telluric. Observed mags are calculated from median value of green chip. Zeropoint gives overall throughput: bigger number is more throughput.
First spatial plots: circles are objects, squares are tellurics, crosses are sky fibers. Colors give deviation of observed mag from expected 2MASS mag using the median zeropoint; red is brighter
Second spatial plots: circles are sky fibers. Colors give sky line brightness relative to plate median sky line brightness
FrameNreadsZeropointsMag plots Spatial mag deviation Spatial sky 16325A emission deviations (filled: sky, open: star) Spatial sky continuum emission Spatial sky telluric CO2 absorption deviations (filled: H < 10)
0 0
RedGreenBlue
z17.64
znorm Inf
sky -Inf -Inf -NaN
S/N 26.0 46.5 48.5
S/N(c) 0.0 0.0 0.0
SN(E/C) 0.93

IPAIRNAMESHIFTNEWSHIFTS/N NAMESHIFTNEWSHIFTS/N
0 14330020 0.500228 0.00000 19.0641 14330018 0.00000 0.500228 19.1023
1 14330023 0.499772 0.000455976 19.1653 14330022 -0.000220507 0.500448 19.1914
2 14330019 0.500010 0.000217974 19.1486 14330021 6.53871e-05 0.500163 19.1376
3 14330024 0.499966 0.000261992 19.1338 14330025 -0.000374750 0.500603 19.1109