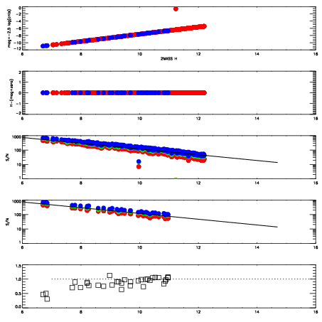
Left plots: red are targets, blue are telluric. Observed mags are calculated from median value of green chip. Zeropoint gives overall throughput: bigger number is more throughput.
First spatial plots: circles are objects, squares are tellurics, crosses are sky fibers. Colors give deviation of observed mag from expected 2MASS mag using the median zeropoint; red is brighter
Second spatial plots: circles are sky fibers. Colors give sky line brightness relative to plate median sky line brightness
FrameNreadsZeropointsMag plots Spatial mag deviation Spatial sky 16325A emission deviations (filled: sky, open: star) Spatial sky continuum emission Spatial sky telluric CO2 absorption deviations (filled: H < 10)
0 0
RedGreenBlue
z17.64
znorm Inf
sky -NaN -Inf -Inf
S/N 23.5 42.3 44.8
S/N(c) 0.0 0.0 0.0
SN(E/C) 0.90

IPAIRNAMESHIFTNEWSHIFTS/N NAMESHIFTNEWSHIFTS/N
0 14590017 0.502345 0.00000 19.0028 14590015 0.00137550 0.500970 18.9877
1 14590016 0.499805 0.00254002 19.0093 14590018 0.00437419 0.497971 19.0281
2 14590012 0.500046 0.00229901 18.9099 14590014 0.00143353 0.500911 18.9556
3 14590013 0.500835 0.00151002 18.9003 14590011 0.00000 0.502345 18.9271